多项式滞后polynominal lags
多项式滞后为回归模型中解释变量滞后,且模型滞后项的参数为滞后期的多项式。即:

其中β
j=α
0+α
1j+α
2j
2+…+α
mj
m该模型提出的背景是当x
t和其滞后值高度相关时,由于多重共线性,因而不可能得到β
j的可靠估计量。因而Almon(1965)假定β
j为次数为m的j的多项式。
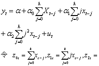
取m=2,β
j=α
0+α
1j+α
2j
2,代入原模型


于是:
yt=α+α0z0t+α1z1t+α2z2t+ut
应用OLS可估计该模型。多项式滞后模型有确定多项式的次数和滞后长度的问题,请参见 W.H.Greene “Econometric Analysis”(Third Edition)。