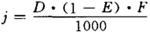
一张蚕种产茧量
指1张蚕种18000头蚕的产茧量。 一般熟蚕上蔟结茧,其中也有损耗2%上下,即17640条熟蚕结茧。茧也有大小厚薄,一般每个蚕茧为1.5~2.5g。 按此计算,其基本式:  式中 j——1张蚕种产茧量(kg); D——1张蚕种熟蚕头数; E——损耗(%); F——每头蚕结茧量(g)。 例 设 D=18000头 则  1张蚕种18000头蚕的产茧量为35.28kg。据浙江省嘉兴市(含嘉善、平阴、海盐、海宁、桐乡县)《嘉兴丝绸志》载1981年张产为33.54kg,1985年为36.40kg,1990年为45.36kg。 |