网站首页  词典首页


请输入您要查询的字词:

 

字词 一次指数平滑法
类别 中英文字词句释义及详细解析
释义 一次指数平滑法

一种常用的预测方法,是移动平均数方法的改型。

它既具备移动平均数方法的长处,又可以减少数据的存储量。包括离散时间系列指数平滑法和连续时间系列指数平滑法。

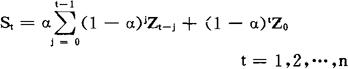
设Z0,Z1,…,Zn为离散时间系列的观测值或给定数值,各观测值相对应的时间依次为t=0,1,…n;又设S1,S2,…Sn依次为时间t=1,2,…n时各观测值的修匀值(或称平滑值)。则各个修匀值St是利用下式求得:

St=Zt-1+α(Zt-Zt-1),t=1,2,…,n

其中St称为指数平滑平均数;α是一个介于0与1之间的常数,称为平滑常数。

把上式改写为:

St=αZt+(1-α)Zt-1,t=1,2,…,n

则可看出,St是Zt和Zt-1的加权平均数,其权数分别为α与(1-α)。如果进行递推,可得

指数平滑法实际上是一种特殊的加权平均法。

由于这种特殊权数均呈j的指数函数形式,且此平均法具有修匀或平滑一系列观测值或给定数列之功能,故得指数平滑法之名称。

如果给定的时间系列Z(t)是由连续观测值或连续数值构成,则可令t为一系列离散时间值,代入Z(t)中,求得一系列离散观测值后,再用上述离散时间系列指数平滑公式来计算。也可采用下列处理办法:

仿照离散指数平滑法的定义,得时间为t的指数平滑平均数Y(t)为

Y(t)=αZ(t)+(1-α)Y(t-1)

t=1,2,…,n,0<α<1

令t的相邻两数值之间隔为△t,则上式变为

式中r为平滑常数,主动作用类似α,但它的允许变化范围并不在0与1之间,而是在0<γ<∞之间。

令△t→0,则上式变为

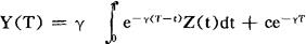
对上式进行积分,且时间t=T时,0的连续指数平滑平均数为

式中,C为积分常数。

随便看

 

离鸟网收录3541549条中英文词条,其功能与新华字典、现代汉语词典、牛津高阶英汉词典等各类中英文词典类似,基本涵盖了全部常用中英文字词句的读音、释义及用法,是语言学习和写作的有利工具。

 

Copyright © 2004-2024 vtrois.com All Rights Reserved
更新时间:2026/5/25 12:02:34