网站首页  词典首页


请输入您要查询的字词:

 

字词 一般均衡
类别 中英文字词句释义及详细解析
释义 一般均衡

包括替代品、互补品的整个商品群或商品体系同时达到的价格与产量的均衡。

在西方经济学中,进行一般均衡分析的最早的经济学家是洛桑学派创始人瓦尔拉斯,该学派的另一创建者帕累托(Pareto)也对一般均衡分析做出了自己的贡献。当代英国著名经济学家希克斯(Hicks)则把这种分析大大向前发展了。

首创者瓦尔拉斯(Walras)的一般均衡模型有三个基本假设:第一,所有商品市场和要素市场都是完全竞争市场。

第二,消费者偏好、技术状况和要素供给都是固定不变的,不存在技术进步,没有投资,也没有负投资。

第三,生产的规模收益不变。模型包括家庭和厂商,家庭既是商品消费者又是生产要素供给者,厂商既是商品生产者又是生产要素需求者,把家庭和厂商联系起来的是商品市场和要素市场。

家庭对商品的需求决定于两组价格:一组价格是商品市场上形成的商品价格,另一组价格是要素市场上形成的要素价格。家庭在要素市场上出售要素,在商品市场上购买商品,出售要素的收入等于购买商品的支出。同样,厂商对要素的需求也决定于两组价格:要素价格和商品价格。厂商购买要素的支出是厂商的成本,出售商品的收入是厂商的收益,厂商的收益等于成本。一般均衡注意各个商品市场之间、各个要素市场之间以及各个商品市场和要素市场之间的价格和数量的相互联系和相互影响。因此,每一种商品的需求量或供给量不仅是这种商品本身价格的函数,而且是所有其他商品价格和所有要素价格的函数。

同样,每一种要素的需求量或供给量也不仅是这种要素本身价格的函数,而且是所有其他要素价格和所有商品价格的函数。商品市场和要素市场都是完全竞争市场,商品或要素供过于求时,价格下降,商品或要素供不应求时,价格上升。

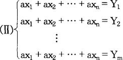
因此,每一种商品或要素都可以全部出售,既无过剩,又无短缺。至于经济社会中所有的商品市场和要素市场是否可以同时达到均衡状态,瓦尔拉斯的一般均衡理论认为,当消费者偏好、要素供给和生产函数为已知时,就能从为数学上论证所有商品市场和要素市场可以同时达到均衡状态,即整个经济可以处于一般的均衡状态。在这种状态下,所有商品和要素的价格和数量都有确定的均衡值。均衡条件是消费者的效用最大化和生产者的利润最大化,所有市场的需求总量等于供给总量。用模型表示,假设x表示商品数量,y表示要素数量,p表示商品价格,w表示要素价格,经济中共有n种商品,m种要素。用aij表示生产i个单位的第j种商品所有的第i种要素的数量,称aij为生产系数(i=1,…,m,j=1,…,n)。

若某人出售y1,y2,……ym数量的各种要素,则他的收入为:

y1W1+y2W2+…+ymWm (1)

若他购买各种商品的数量为x1,x2,……xn,则他的支出为:

x1p1+x2p2+…+xnpn (2)

由假设知收入等于支出。令,则:

y1W1+y2W2+…+ymWm=X1+X2P2+…+XnPn (3)

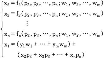
另外,某人对每一种商品的需求函数是:

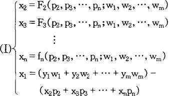
以上只是一个人对每一种商品的需求量,经济社会有许许多多家庭和个人,现用K表示模型中家庭或个人数目,用xj表示所有K个家庭或个人购买的商品Xj的总数,用Yi表示所有K个家庭或个人提供的要素Yi的总数,这里j取1到n的值,i取1到m的值,于是得到瓦尔拉斯的一般均衡模型。商品需求方程为:

要素供求相等的方程:

生成成本和商品价格相等的方程:

瓦尔拉斯认为,因为方程的数目等于未知数的数目,所以一般均衡模型有解存在。在瓦尔拉斯以后,数学家和经济学家都证明,瓦尔拉斯关于方程的数目和未知数的数目相等就有解的论断是错误的。

西方学者用集合论等数学方法证明,一般均衡体系只有在极其严峻的假设条件下才可能存在均衡解。这些假设条件有:任何厂商都不存在规模收益递增;每一种商品的生产至少必须使用一种原始生产要素;任何消费者所提供的原始生产要素都不得大于它的初始存量;每个消费者的序数效用函数都是连续的;消费的欲望是无限的;无差异曲线凸向原点,等等。

总之,在一定的假设条件全部得到满足时,一般均衡体系就有均衡解存在,可以是惟一解。瓦尔拉斯的一般均衡量是静态的,希克斯发展了这个理论,论述了经济体系的静态一般均衡的稳定条件,而且试图运用静态均衡分析方法来建立一个模型,用时间因素描绘经济过程的动态均衡理论,希克斯因此获得1972年诺贝尔经济学奖。

现代西方学者纽曼(Neumann)等人研究了动态的一般均衡,分析了按固定速度增长的处于一般均衡状态的经济体系,认为瓦尔拉斯的一般均衡理论只表示经济的各个市场相互联系和相互依存的一般关系,不能作为有效的实证的应用工具。但这在本世纪30年代以前的很长时期内没有为西方学者所重视。

第二次世界大战后,K·阿罗(K.Arrow)和G·德布罗等经济学家业已在更加广泛的基础上建立了完全竞争经济中一般均衡模型。例如,他们证明在有限制的成本递增和垄断竞争的经济中依然存在著一般均衡。

但西方经济学家至今还不能证明,在寡头占据主要地位的经济中,能否实现一般均衡。

参考文献:

[美]萨缪尔森,1982,《经济学》,商务印书馆。

[美]斯蒂格利茨,1997,《经济学》,中国人民大学出版社。

厉以宁等编著,1983,《现代西方经济学概论》,北京大学出版社。

[美]平狄克等著,1997,《微观经济学》,中国人民大学出版社。

随便看

 

离鸟网收录3541549条中英文词条,其功能与新华字典、现代汉语词典、牛津高阶英汉词典等各类中英文词典类似,基本涵盖了全部常用中英文字词句的读音、释义及用法,是语言学习和写作的有利工具。

 

Copyright © 2004-2024 vtrois.com All Rights Reserved
更新时间:2026/5/25 13:10:20