网站首页  词典首页


请输入您要查询的字词:

 

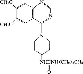
字词 丁喹伦
类别 中英文字词句释义及详细解析
释义 丁喹伦

C20H29N5O3=387.48

CAS-59184-78-0

1-丁基-3-[1-(6,7-二甲氧基-4-喹唑啉基)-4-哌啶基]脲。

1-Butyl-3-[1-(6,7-dimethoxy-4-quinazolinyl)-4-piperidyl]urea.

强心药。

Buquineran.

INN,BAN,USAN.

随便看

 

离鸟网收录3541549条中英文词条,其功能与新华字典、现代汉语词典、牛津高阶英汉词典等各类中英文词典类似,基本涵盖了全部常用中英文字词句的读音、释义及用法,是语言学习和写作的有利工具。

 

Copyright © 2004-2024 vtrois.com All Rights Reserved
更新时间:2026/4/9 15:02:36