网站首页  词典首页


请输入您要查询的字词:

 

字词 丁夫罗林
类别 中英文字词句释义及详细解析
释义 丁夫罗林

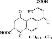
C18H16N2O6=356.33

CAS-54867-56-0

6-丁基-1,4,7,10-四氢-4,10-二氧-1,7-菲咯啉-2,8-二羧酸。

6-Butyl-1,4,7,10-tetrahydro-4,10-dioxo-1,7-phenanthroline-2,8-dicarboxylic acid.

抗组胺药。

Bufrolin,ICI 74917.

INN,BAN,USAN.

随便看

 

离鸟网收录3541549条中英文词条,其功能与新华字典、现代汉语词典、牛津高阶英汉词典等各类中英文词典类似,基本涵盖了全部常用中英文字词句的读音、释义及用法,是语言学习和写作的有利工具。

 

Copyright © 2004-2024 vtrois.com All Rights Reserved
更新时间:2026/4/6 5:35:06