丁碘桂酸
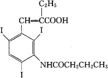
C15H16I3NO3=639.02 CAS-1233-53-0 2-(3-丁酰胺基-3,4,6-三碘苯基亚甲基)丁酸。 2-(3-Butyramido-3,4,6-triiododophenylmethylene)butyric acid. 2-[(2,4,6-三碘-3-[(1-氧丁基)氨基]苯基]亚甲基丁酸。 2-[(2,4,6-Triiodo-3-[(1-oxobutyl)amino]phenyl]methylene butanic acid. 诊断用药胆造影剂。 必那来约迪。 Bunamiodyl,Orabilex,Orabilix,Beniodyl. INN,BAN.  |