丁胺卡那霉素[中]
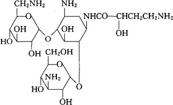
C22H43N5O13=585.61 CAS-37517-28-5 O-3-氨基-3-去氧-α-D-吡喃葡葡基(1→4)-O-[氨基-6-α-D-吡喃葡糖基(1→6)]-N3-(4-氨基-L-2-羟基丁酰)-2-去氧-L-链霉胺。 O-3-Amino-3-deoxy-α-D-glucopyranosyl(1→4)-O[6-amino-6-α-D-glucopyranosyl(1→6)]-N3-(4-amino-L-2-hydroxybutyryl)-2-deoxy-L-streptamine. 抗生素类药。用于对氨基糖甙类抗菌素耐药的绿脓杆菌、变形杆菌及大肠杆菌等引起的感染性疾病。 阿米卡星,阿米苄霉素。 Amikacin. 注射用丁胺卡那霉素。 INN,BAN,DCF,DCIT,JP,NF,NFN,USAN,USP,MI.  |