网站首页  词典首页


请输入您要查询的字词:

 

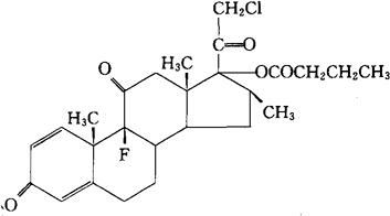
字词 丁酸氯倍他松
类别 中英文字词句释义及详细解析
释义 丁酸氯倍他松

C26H32ClFO5=479.00

CAS-25122-57-0

21-氯-9-氟-17-羟-16β-甲基孕甾-1,4二烯-3,11,20-三酮丁酸酯。

21-Chloro-9-fluoro-17-hydroxy-16β-methylpregna1,4-diene-3,11,20-trione butyrate.

抗炎药。

Clobetasone Butyrate.

USAN,MI.

随便看

 

离鸟网收录3541549条中英文词条,其功能与新华字典、现代汉语词典、牛津高阶英汉词典等各类中英文词典类似,基本涵盖了全部常用中英文字词句的读音、释义及用法,是语言学习和写作的有利工具。

 

Copyright © 2004-2024 vtrois.com All Rights Reserved
更新时间:2026/5/28 21:41:24