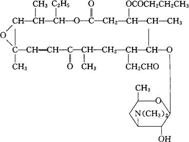
丁酸罗沙米星
C35H57NO10=651.84 CAS-55103-30-5 CAS-35834-26-5(rosaramicin) 2-丁酸4-脱氧-卷须霉素A1。 4-Deoxy-cirramycinA1,2′-butanoate. 蔷薇霉素2′-丁酸盐。 Rosamicin 2′-butanoate. α′-丁酸3-乙基-7-羟-2,8,12,16-四甲基-5,13-二氧代-9-[[3,4,6-三脱氧-3-(二甲氨基)-β-D-木-吡喃己糖基]氧]-4,17-二氧杂双环[14.1.0]十七碳-14-烯-10-乙醛。 3-Ethyl-7-hydroxy-2,8,12,16-tetramethyl-5,13-dioxo-9-[[3,4,6-trideoxy-3-(dimethylamino)-β-Dxylo-hexopyranosyl]oxy]-4,17-dioxabicyclo[14.1.0]heptadec-14-ene-10-acetaldehyde 2′-butyrate. 抗菌药。 罗沙米星丁酸酯。 Rosaramicin Butyrate,Sch 18667 Butyrate,Rosamicin Butyrate. USAN. 
|