网站首页  词典首页


请输入您要查询的字词:

 

字词 七叶吗啉
类别 中英文字词句释义及详细解析
释义 七叶吗啉

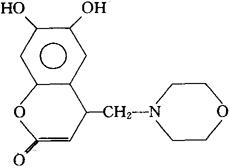
C14H15NO5=277.28

CAS-15687-22-6

6,7-二羟-4-(吗啉甲基)香豆素。

6,7-Dihydroxy-4-(morpholinomethyl)coumarin.

6,7-二羟-4-(4-吗啉甲基)-2H-1-苯并吡喃-2-酮。

6,7-Dihydroxy-4-(4-morpholinylmethyl)-2H-1-benzopyran-2-one.

毛细血管保护药。

Folescutol,LD 2988.

INN,DCF,USAN.

随便看

 

离鸟网收录3541549条中英文词条,其功能与新华字典、现代汉语词典、牛津高阶英汉词典等各类中英文词典类似,基本涵盖了全部常用中英文字词句的读音、释义及用法,是语言学习和写作的有利工具。

 

Copyright © 2004-2024 vtrois.com All Rights Reserved
更新时间:2026/4/7 19:44:20