网站首页  词典首页


请输入您要查询的字词:

 

字词 安体舒通
类别 中英文字词句释义及详细解析
释义
安体舒通

安体舒通

安体舒通是一组17-螺旋内酯类固醇中的一种,能拮抗醛固酮的作用,故可用于治疗原发性和继发性醛固酮增多症。
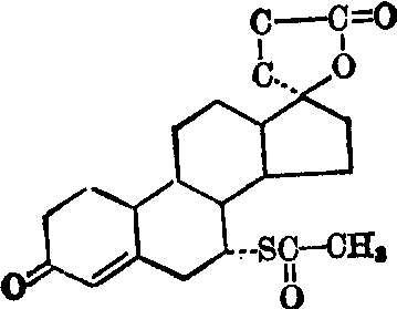
安体舒通的基本化学结构和皮质类固醇相似,A环也为Δ4-3酮,但17碳位上的α-酮醇侧链被-内酯基所替代,在第7碳位上有一乙酰硫基,后一结构使其口服吸收较佳。安体舒通可与盐皮质激素受体相结合,故可通过竞争性抑制拮抗醛固酮、去氧皮质酮的效能。对于肾上腺皮质已被毁或切除,体内无盐皮质激素者,安体舒通却不能发挥上述效能。为了能拮抗醛固酮的作用,安体舒通需要量应较醛固酮的分泌量大一千倍以上。安体舒通可使尿Na+排泄增加,K+、H+、NH+4排泄减少。较长期应用安体舒通时,除了和醛固酮


安体舒通的化学结构

相拮抗外,还可抑制其合成。原发性醛固酮增多症(原醛)患者,长程安体舒通治疗后醛固酮的分泌减少,其机理为:
❶细胞色素P450受抑制;
❷11β-羟化酶受抑制;
❸18-羟化酶受抑制,后一种作用所需安体舒通浓度最低。
应用安体舒通的指征: 原发性醛固酮增多症中腺瘤患者作为手术前准备; 双侧肾上腺皮质增生患者的长期治疗; 继发性醛固酮增多症中,伴明显水肿(或腹水) 和低血钾者可酌情使用,可考虑和具排钠、排钾作用的利尿剂,如噻嗪类、速尿或利尿酸合用,以加强利尿减轻排钾。剂量根据病情调整,由小剂量开始(如每日60mg),原醛患者在初治阶段每日需量约为160~320mg,长期服用时可根据病情减量。
安体舒通有抗雄激素并增加雌激素的作用,剂量愈大作用愈强,可引起男子乳房发育和阳萎,使男性患者长期、大量用药有困难。此副作用的发生机理为:
❶抑制17α-羟化酶和细胞色素P450而阻碍睾酮合成;
❷竞争性抑制二氢睾酮和其胞浆受体结合;
❸加速睾酮代谢廓清率,并加强睾酮向雌二醇的转变。睾酮代谢廓清加速与安体舒通可使其从血浆性激素结合球蛋白上置换下来有关。在使用大剂量时,可能出现的副作用为:神经系症状(嗜睡、头痛、运动失调、精神失常),消化系症状 (上腹不适,便秘或腹泻),皮疹,皮肤色素沉着,多汗。女性患者可发生多毛,喉音低沉、月经不规则。用药过程中,需观察血清电解质浓度和心电图变化,以避免高钾血症。
☚ 醛固酮   肾上腺皮质激素拮抗药 ☛

安体舒通

antisterone

随便看

 

离鸟网收录3541549条中英文词条,其功能与新华字典、现代汉语词典、牛津高阶英汉词典等各类中英文词典类似,基本涵盖了全部常用中英文字词句的读音、释义及用法,是语言学习和写作的有利工具。

 

Copyright © 2004-2024 vtrois.com All Rights Reserved
更新时间:2026/4/8 6:47:51