三唑仑
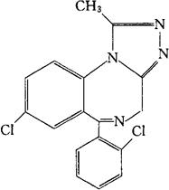
C17H12Cl2N4=343.21 CAS-28911-01-5 8-氯-6-(2-氯苯)-1-甲基-4H-[1,2,4]三唑并[4,3-a]苯并二氮 。 4H-[1,2,4]Triazolo[4,3-a]benzodiazepine,8-chloro-6-(2-chlorophenyl)-1-methyl-. 8-氯-(6-邻氯苯基)-1-甲基-4H-S-三唑并[4,3-a][1,4]苯并二氮杂 。 8-Chloro-6(o-chlorophenyl)-1-methyl-4H-s-triazolo[4,3-a][1,4]benzodiazepine. 催眠镇静药。 Halcion,Triazolam,Clorazolam,Halcion,Insomnium,Novidorm,Nuctane,Somese,Songar,U33030. INN,BAN,DCF,DCIT,JAN,NFN,USAN,USP,MI.  |