网站首页  词典首页


请输入您要查询的字词:

 

字词 完全平均余命
类别 中英文字词句释义及详细解析
释义

完全平均余命

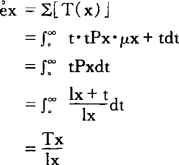
亦称“完全生命期望”。假设未来生命时间函数为连续型分布时的余命平均值。也就是从某年龄开始到死亡为止的平均生存年数。通常x岁的人的完全平均余命以x表示。 若tPx为x岁人的活过x+t岁的概率,μx+t为x岁的人在x+t岁时死亡的死亡函数,则完全平均余命为:

式中,Tx为所有x岁的人未来所活年数的总和。在死亡人数的均匀分布假设条件下,完全平均余命与平均余命存在关系为x≈ex+1/2。
完全平均余命

完全平均余命complete expectation of life

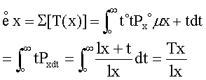
亦称“完全生命期望”。假设未来生命时间函数为连续型分布时的余命平均值。也就是从某年龄开始到死亡为止的平均生存年数。通常x岁的人的完全平均余命以ex表示。若tPx为x岁人的活过x+t岁的概率,μx+1为x岁的人在x+t岁时死亡的死亡函数,则完全平均余命为:

式中,Tx为所有x岁的人未来所活年数的总和。在死亡人数的均匀分布假设条件下,完全平均余命与平均余命存在关系为ex≈ex+1/2。
☚ 死亡率   完全生命期望 ☛
00006960
随便看

 

离鸟网收录3541549条中英文词条,其功能与新华字典、现代汉语词典、牛津高阶英汉词典等各类中英文词典类似,基本涵盖了全部常用中英文字词句的读音、释义及用法,是语言学习和写作的有利工具。

 

Copyright © 2004-2024 vtrois.com All Rights Reserved
更新时间:2026/4/7 15:43:34