三氯奈德
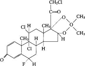
C24H28Cl3FO4=505.84 CAS-26849-57-0 (6α,11β,16α)-9,11,21-三氯-6-氟-16,17-[(1-甲基亚乙基)双(氧)]-孕甾-1,4-二烯-3,20-二酮。 Pregna-1,4-diene-3,20-dione,9,11,21-trichloro-6-fluoro-16,17-[(1-methylethy lidene)bis(oxy)]-,(6α,11β,16α)-. 9,11β,21-三氯-6α-氟-16α,17-二羟孕甾-1,4-二烯-3,20-二酮,环乙缩醛丙酮。 9,11β,21-Trichloro-6α-fluoro-16α,17-dihydroxypregna-1,4-diene-3,20-dione,cyclic acetal with acetone. 消炎镇痛药。 Triclonide,RS-4464. INN,USAN. 
|