网站首页  词典首页


请输入您要查询的字词:

 

字词 三氯酚哌嗪
类别 中英文字词句释义及详细解析
释义 三氯酚哌嗪

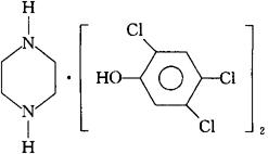
C4H10N2·2C6H3Cl3O=481.03

CAS-5714-82-9

2,4,5-三氯苯酚-与哌嗪的复合物(2∶1)。

Phenol,2,4,5-trichloro-,compd.with piperazine(2∶1).

哌嗪与2,4,5三氯苯酚的复合物(1∶2)。

Piperazine ccmpound(1∶2)with 2,4,5-trichlorophenol.

抗蠕虫药。

Triclofenol Piperazine,Ranestol,Cl-416,CN5834-5931B,IN 29-5931B,NSC-77747.

INN,BAN,USAN.

随便看

 

离鸟网收录3541549条中英文词条,其功能与新华字典、现代汉语词典、牛津高阶英汉词典等各类中英文词典类似,基本涵盖了全部常用中英文字词句的读音、释义及用法,是语言学习和写作的有利工具。

 

Copyright © 2004-2024 vtrois.com All Rights Reserved
更新时间:2026/4/8 11:16:16