三点法
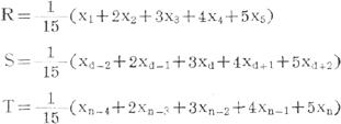
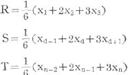
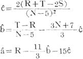
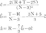
统计预测的一种计算简便、效果较好的方法。 它是把时间数列的数据画出散点图,根据其发展趋势分为间隔相等的三段或四段,计算各该段的加权算术平均数作为参数,代入联立方程求得长期趋势方程式。用于外推预测。 当散点图呈现二次抛物线趋势,就有三个参数,可以把时间数列分为间隔相等三段,每段各取3项或5项数值,分别计算三个加权平均数,作为曲线的坐标点,据以计算方程式中的参数值。在数列总项数为N>15时,三点各取5项平均,权数从远到近,加重近期数值在平均数中的作用,分别用1、2、3、4、5加权;在N<15时,三点各取3项平均,权数分别用1、2、3加权。 为了保证三点之间的距离相等,排列总项数应为奇数,如果总项数为偶数,可删去最早期一项。三点法的算式为: 设 R=初期5(或3)项的加权平均数 S=中期5(或3)项的加权平均数 T=近期5(或3)项的加权平均数 N=时间数列总项数(奇数)  5项加权平均为;  3项加权平均为:  上面各式整理后: 直线方程 + 式中â、 两个参数的估计值算式为: 5项加权平均式:  3项加权平均式:  二次曲线方程 t= t+ t2 式中â、 、ĉ三个参数估计值算式为: 5项加权平均为:  3项加权平均式: 
|