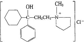
三环氯铵
C20H32ClNO=337.93 CAS-3818-88-0 氯化1-(3-环己基-3-羟-3-苯丙基)-1-甲基吡咯烷铵。 1-(3-Cyclohexyl-3-hydroxy-3-phenylpropyl)-1-methylpyrrolidinium chloride. 抗胆碱药。 氯三环胺醇。 Tricyclamol Chloride,Tricoloid Chloride,Elorine,Lerging,Tricoloid,Tricyvagol,Aconil,Vagosin,Procyclidine Methyl Chloride. INN,BAN,BP,DCF,NFN,USAN,MI.  |