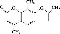
三甲沙林
C14H12O3=228.25 CAS-3902-71-4 2,5,9-三甲基-7H-呋喃并[3,2-g][1]苯并吡喃-7-酮。 2,5,9-Trimethyl-7H-furo[3,2-g][1]benzopyran-7-one. 4,5′,8-三甲基补骨脂灵。 4,5′,8-Trimethylpsoralen. 著色药。 补骨酮,三甲沙仑,三甲补骨脂素。 Trioxysalen,Trisoralen,Trioxsalen,NSC-71047,Dermetrix,Levrison,Tripsos. INN,DCIT,JAN,NF,NFN,USAN,USP,MI. 
|