网站首页  词典首页


请输入您要查询的字词:

 

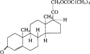
字词 三甲醋酸去氧皮质酮
类别 中英文字词句释义及详细解析
释义 三甲醋酸去氧皮质酮

C26H38O4=414.58

CAS-64-85-7(desoxycortone)

21-(2,2-二甲基-1-氧丙氧基)孕甾-4-烯-3,20-二酮。

21-(2,2-Dimethyl-1-oxypropoxy)pregn-4-ene-3,20-dione.

11-脱氧皮质酮三甲基乙酸酯。

11-Deoxycorticosterone trimethylacetate.

肾上腺皮质激素类药。

去氧皮甾酮三甲基乙酸酯。

Desoxycorticosterone Trimethylacetate,Desoxycortone Trimethylacetate, Desoxycorticosterone Pivalate.

INN(Desoxycortone),BAN(Deoxycortone),USAN,USP.

随便看

 

离鸟网收录3541549条中英文词条,其功能与新华字典、现代汉语词典、牛津高阶英汉词典等各类中英文词典类似,基本涵盖了全部常用中英文字词句的读音、释义及用法,是语言学习和写作的有利工具。

 

Copyright © 2004-2024 vtrois.com All Rights Reserved
更新时间:2026/4/7 11:31:12