网站首页  词典首页


请输入您要查询的字词:

 

字词 三砂糖膏分蜜前加水量的确定
类别 中英文字词句释义及详细解析
释义 三砂糖膏分蜜前加水量的确定

为了把助晶完毕时的三砂糖膏由过饱和变成饱和,除上面介绍的提温方法外,也可用加水法。两法都能起到降低粘度的作用。

设助晶完毕时每100公斤过饱和晶间蜜(锤度B,纯度P)加水△W公斤后达到饱和;这时,饱和蜜的溶解度是:

已测出与晶间蜜(也是废蜜)饱和系数α有关的常数m和b,由纯糖溶液溶解度表查出在此晶间蜜温度下的纯糖溶解度H0,则加水后此不纯晶间蜜中糖分溶解度为:

以上两式相等;简化后得加水量为

或记为:

另按前述方法求出三砂糖膏重量结晶率(K)后,即可计算加水量对糖膏的重量百分率:

实际加水量宜比计算值稍少一些。

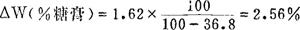
例如:已测得三砂糖膏(锤度92,纯度76)晶间蜜(锤度85,纯度60)的常数m为0.220,b为0.805,此糖膏分蜜前温度45℃时的纯糖溶解度(H0)为2.486,则加水到饱和时的加水量为:

△W(%晶间蜜)

另算出三砂膏重量结晶率为36.8%,则

可加水2.5%(对三砂糖膏重)以下,而不致引起晶粒溶解。

随便看

 

离鸟网收录3541549条中英文词条,其功能与新华字典、现代汉语词典、牛津高阶英汉词典等各类中英文词典类似,基本涵盖了全部常用中英文字词句的读音、释义及用法,是语言学习和写作的有利工具。

 

Copyright © 2004-2024 vtrois.com All Rights Reserved
更新时间:2026/4/6 13:23:48