网站首页  词典首页


请输入您要查询的字词:

 

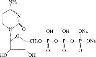
字词 三磷酸胞苷钠[中]
类别 中英文字词句释义及详细解析
释义 三磷酸胞苷钠[中]

C9H14N3Na2O14P3=527.14

胞嘧啶核苷-5-三磷酸酯二钠盐。

Cytidine-5-triphosphate sodium salt.

核苷酸类药。用于脑震荡及其后遗症、神经官能症、肝炎等。

胞三磷酸钠,胞三磷钠。

Cytidine Sodium Triphosphate,CTP-Na.

三磷酸胞苷钠注射液。

随便看

 

离鸟网收录3541549条中英文词条,其功能与新华字典、现代汉语词典、牛津高阶英汉词典等各类中英文词典类似,基本涵盖了全部常用中英文字词句的读音、释义及用法,是语言学习和写作的有利工具。

 

Copyright © 2004-2024 vtrois.com All Rights Reserved
更新时间:2026/4/6 17:13:32