网站首页  词典首页


请输入您要查询的字词:

 

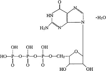
字词 三磷酸鸟甙[中]
类别 中英文字词句释义及详细解析
释义 三磷酸鸟甙[中]

C10H16N5O14P3·H2O=525.15

CAS-118-00-3

三磷酸鸟嘌呤核甙一水化合物。

Guanosine triphosphoric acid,monohydrate.

辅酶类药。用于迁延性肝炎、慢性肝炎及进行性肌萎缩等。

鸟甙三磷酸,鸟三磷。

Guanosine Triphosphate,GTP.

三磷酸鸟甙注射液。

随便看

 

离鸟网收录3541549条中英文词条,其功能与新华字典、现代汉语词典、牛津高阶英汉词典等各类中英文词典类似,基本涵盖了全部常用中英文字词句的读音、释义及用法,是语言学习和写作的有利工具。

 

Copyright © 2004-2024 vtrois.com All Rights Reserved
更新时间:2026/4/8 1:01:50