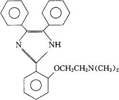
三苯格雷
C25H25N3O=383.49 CAS-84203-09-8 2-[2-(4,5-二苯基-1H-咪唑-2-基)苯氧]-N,N-二甲基乙胺。 Ethanamine,2-[2-(4,5-diphenyl-1H-imidazol-2-yl)phenoxy]-N,N-dimethyl-. 2-[邻-[2-(二甲氨基)乙氧]苯基]-4,5-二苯咪唑。 2-[o-[2-(Dimethylamino)ethoxy]phenyl]-4,5-diphenylimidazole. 抗凝药,抗血栓药。 曲非那格。 Trifenagrel,BW 325U. INN,USAN.  |