三角函数式的求值
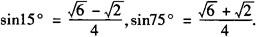
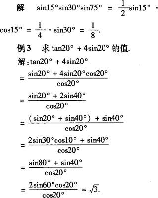
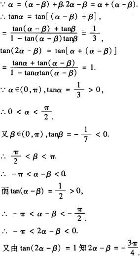
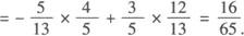
三角函数式求值的三种类型 a.给角求值 b.给值求值 c.给值求角 例1 若 是方程2cos(x+α)=1的解α∈(0,2π),则α=( ). 分析 本题考查了给值求角的问题. 解 依题意可知 2. 由α∈(0,2π)知 . 观察y=cosx的图象可知 即 为所求. 例2 sin15°sin30°sin75°的值等于( ).  分析 熟悉sin15°与sin75°值的同学可以直接利用  算得结果为1/8,故选C.但是灵活的应用公式巧算则更简捷.  评注 本题上面解法关键有两步,第一步是tan20°化成正、余弦;第二步把2sin40°拆成sin40°+sin40°. 例3 已知tan(α—β)=1/2tanβ=—1/7,且α、β∈(0,π)求2α—β的值. 分析 先找到所求的角与已知函数中的角的联系,再用公式求出所求角的三角函数值,再根据角的范围求出所求角. 解  例4 在△ABC中,已知 ,sinB=3/5,求cosC的值 分析 三角形中的三角函数求值问题不能忘了隐形条件,A+B+C=π,A、B、C∈(0,π).   评注 本题如若不弄清B的范围将会产生两个结果. |