三角函数的化简与证明
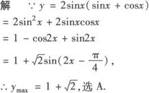
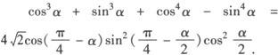
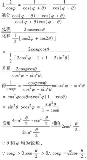
a.化简要求: ❶ 能求出值的应求出值. ❷ 使用三角函数种数尽量少. ❸ 使项数尽量少. ❹ 尽量使分母不含三角函数. ❺ 尽量使被开方数不含三角函数. b.三角恒等式的证明,就是合理准确灵活地选用基本三角恒等式进行三角函数的等价变换,原则由繁到简. 例1 函数y=2sinx(sinx+cosx)的最大值为( ).   例2 证明  证明 等式两边都较复杂,可采用左右归一的途径. 左边=(cosα+sinα)(cos2α—cosαsinα+sin2α)+(cos2α+sin2α)·(cosα+sinα)(cosα—sinα)=(cosα+sinα)(1—cosαsinα+cosα—sinα)=(cosα+sinα)(1+cosα)(1—sinα),   ∴左边=右边,原式成立. 例3 设θ和φ均为锐角,且 ,求证: 分析 观察比较条件与结论,知切入点应在条件右端,通过变换使φ与θ分离,同时实现角的结构转变:“ ”. 证明  |