网站首页  词典首页


请输入您要查询的字词:

 

字词 三角函数的基本关系和公式
类别 中英文字词句释义及详细解析
释义 三角函数的基本关系和公式

2.1.1 基本关系

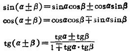
2.1.2 加法公式

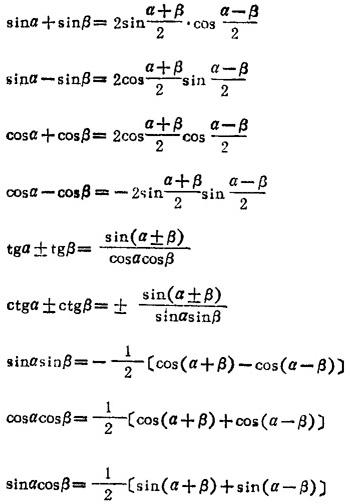
2.1.3 和差与积互化公式

2.1.4 倍角与半角公式

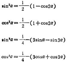
2.1.5 降幂公式

随便看

 

离鸟网收录3541549条中英文词条,其功能与新华字典、现代汉语词典、牛津高阶英汉词典等各类中英文词典类似,基本涵盖了全部常用中英文字词句的读音、释义及用法,是语言学习和写作的有利工具。

 

Copyright © 2004-2024 vtrois.com All Rights Reserved
更新时间:2026/5/31 23:43:51