网站首页  词典首页


请输入您要查询的字词:

 

字词 三角函数的性质
类别 中英文字词句释义及详细解析
释义 三角函数的性质

例1 下列函数中,既为偶函数又在(0,π)上单调递增的是( ).

解 观察四个选项知四个函数都是偶函数,故只须判断哪个函数在(0,π)上单调递增即可,结合三角函数的图象知答案为C.

例2 已知函数f(x)=cos4x—2sinxcosx—sin4x.

(Ⅰ)求f(x)的最小正周期;

(Ⅱ)若x∈[0,],求f(x)的最大值、最小值.

分析 本题主要考查三角函数的倍角、和角公式,以及三角函数的性质等基本知识,考查运算能力.

解 (Ⅰ)

因为f(x)=cos4x—2sinxcosx—sin4x.

=(cos2x+sin2x)(cos2x—sin2x)—sin2x

=cos2x—sin2x

所以f(x)的最小正周期

(Ⅱ)因为,所以

时,取得最大值;当时,取得最小值—1,所以f(x)在[0,]上的最大值为1,最小值为

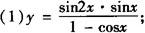
例3 求下列函数的定义域.

❶ f(x)=logsinx(1+2cosx);

❷ f(x)=lg(sinx—cosx).

分析 解这类题实际上就是解三角不等式或不等式组,要充分利用单位圆和三角函数的图象辅助求解,对三角不等式组要将各个不等式的解的区域在单位圆中表示出来后,求得公共区域,再写出其解集.

解❶ 

画出单位圆,标出各不等式的解的区域则公共区域一目了然,即

故f(x)的定义域为

❷ 由题意知sinx—cosx>0,即sinx>cosx

由单位圆中的三角函数线图知,直线y=x的左上方区域即是sinx>cosx的解的区域.

∴f(x)的定义域为

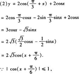
例4 求下列函数的值域:

分析 将原函数式化为y=Asin(ωx+φ)+B,y=Acos(ωx+φ)+B型,或化为关于sinx(或cosx)的二次函数式,利用换元法进行配方可解决问题.

∴ymax=4,当且仅当cosx=1时取得,但cosx≠1,∴y<4.

∴ymin=—1/2,当且仅当cosx=—1/2时取得.故该函数的值域为[—1/2,4).

∴该函数的值域为

评析 在求函数的值域时,应注意其定义域.

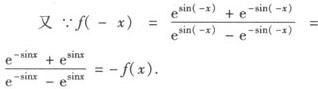
例5 判断下列函数的奇偶性:

解 (1)定义域为esinx—e—sinx≠0,

∴sinx≠0 即x≠kπ(k∈Z)定义域关于原点对称.

∴该函数是奇函数.

(2)∵时,1+sinx+cosx=2,而时,1+sinx+cosx=0函数无意义,

∴函数的定义域不关于原点对称.∴该函数既不是奇函数也不是偶函数.

(3)∵y=sin4x—cos4x+cos2x

=(sin2x+cos2x)(sin2x—cos2x)+cos2x

=—cos2x+cos2x=0,

∴该函数既是奇函数,又是偶函数.

评析 讨论函数奇偶性应先考虑函数定义域是否关于原点对称,是函数为奇、偶函数的必要条件.

随便看

 

离鸟网收录3541549条中英文词条,其功能与新华字典、现代汉语词典、牛津高阶英汉词典等各类中英文词典类似,基本涵盖了全部常用中英文字词句的读音、释义及用法,是语言学习和写作的有利工具。

 

Copyright © 2004-2024 vtrois.com All Rights Reserved
更新时间:2026/4/6 18:52:23