三角函数线
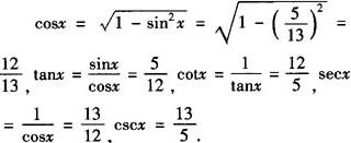
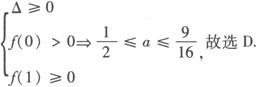
如图,角α的三角函数值可以用单位圆中的有向线段表示:sinα=MP,cosα=OM,tanα=AT,cotα=BS MP、AT的方向和y轴的正向一致时是正的,相反时是负的,OM、BS的方向和x轴的正向一致时,是正的,相反时是负的.单位圆中的有向线段MP、OM、AT、BS分别叫做角α的正弦线、余弦线、正切线和余切线.  例1 已知 ,求x的其他三角函数值. 解 因为 ,所以x是第一、二象限的角. (1)若x是第一象限的角,则  (2)若x是第二象限的角,则  分析 利用同角三角函数平方关系式化简,注意“1”的灵活运用. 解 原式   例3 把下列各三角函数化为锐角的三角函数:  解 (1)sin(—998°)=—sin998°=—sin[3×360°+(—82°)]=—sin(—82°)=sin82°.  例4 已知方程x2—3/2x+a=0的两根为sinα,sinβ,则a的取值范围是( ). A.|a|≤1 B. C.a≥1/2 D.以上都不对 分析 很多学生没有挖掘出题中的隐含条件sinα+sinβ=3/2,不知原方程有两正根.(1)认为 |sinβ|≤1,错选A.(2)认为sinα,sinβ∈ ,错选B. 解 ∵sinα+sinβ=3/2,根据正弦函数的有界性易知0  例5 化简: (1)cosα(2secα+tanα)(secα—2tanα)+3tanα;(2)sin2α·tanα+cos2α·cotα+2sinαcosα—cotα. 分析 注意到函数名称多的特点,把切割化弦后再化简. 解 (1)原式  |