三角函数预测法
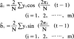
通过三角函数关系来描述周期性经济变量的运动规律,并进行各种预测的一种方法。 其数学模型的基本形式如下:  式中,yt为第t期实际观察值,Wi为三角函数的频率,t为时刻。 上述模型大致分为两部分,一部分是a0+b0t,它是周期变量的趋势(图a),称为周期变量的趋势分量,当b0=0时,趋势分量为一条水平线。 另一部分是 ,它是周期变量的周期变化分量(图b)。趋势分量与周期变化分量之和为yi(图c)。 实际应用中,由于不可能将无穷多个三角函数进行叠加,因此对于观察值的时间序列,只能用有限个三角函数的叠加去近似。通常,如果有N个观察值y1,y2,……,yN,若N是奇数时,就用 个三角函数去近似yt;若N是偶数时,就用 个三角函数去近似yt。 即:  式中,Ti为三角函数的周期, i和 i=0,1,2,……,m为待估参数。 当N为偶数时 当N为奇数时 式中, 和 可利用回归方程计算, i和 i=1,2,……,m)可利用下式求出:  利用模型预测时,只需将时间变量代入方程即   
|