三角形内角和定理的两个推论
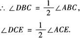
推论1:三角形的一个外角等于和它不相邻的两个内角的和. 推论2:三角形的一个外角大于任何一个和它不相邻的内角. 例1 已知,如图,AE平分∠BAC,AD=AC,求证:∠C>∠B.  证明 在△ADE与△ACE中, ∵AE平分∠BAC, ∴∠DAE=∠CAE. ∵AD=AC,AE=AE, ∴△ADE≌△ACE(SAS), ∴∠C=∠ADE. ∵∠ADE为△BDE的外角, ∴∠ADE>∠B(三角形的外角大于和它不相邻的任一内角), ∴∠C>∠B. 例2 如图,已知:在△ABC中,∠ABC的平分线与∠ACB的外角平分线交于点D.求证:∠A=2∠D.  证明 ∵BD、CD分别是∠ABC与∠ACE的平分线,  又∵∠ACE是△ABC的外角. ∴∠A=∠ACE-∠ABC. 同理∠D=∠DCE-∠DBC.  即∠A=2∠D. [解析] 1.涉及到三角形的一个外角与和它不相邻的两个内角,这三个角中,只要知道了其中的两个角的度数,就可以求出第三个角的度数.三角形的外角,往往总隐含在图形中,在已知条件中没有明确说明,所以在应用过程中,关键是通过审图,从图形中挖出隐含条件.如果涉及到求角的度数或证明角度之间的等量关系,则应联想到三角形内角和定理的推论1. 2.凡涉及到证明有关角的不等关系,则应联想到应用三角形内角和定理的推论2. |