网站首页  词典首页


请输入您要查询的字词:

 

字词 三角形的内角
类别 中英文字词句释义及详细解析
释义 三角形的内角

相邻两边所组成的角叫做三角形的内角,简称三角形的角.

注意 如图所示

1.线段AB、线段BC、线段AC是三角形的三条边,A、B、C是三角形的三个顶点,∠A、∠B、∠C是三角形的三个内角.

2.三角形的边有时也用小写字母表示,如图顶点A所对的边用a表示,顶点B所对的边用b表示,顶点C所对的边用c表示.

3.三角形的表示符号是△,以ABC为顶点的三角形记作△ABC,字母没有先后顺序.

例1 如图所示,△ABC中,D是AC上一点,E是BD上一点,则

(1)图中共有__个三角形

(2)以AB为边的三角形共有__个,它们是__.

(3)∠ABD是__和__内角

(4)以BC为对边的角是__.

(5)在△ABD中,∠ABD的对边是__.

在△ABE中,∠ABE的对边是__.

答 (1)8.

(2)3,△ABE,△ABD,△ABC.

(3)△ABE,△ABD.

(4)∠BAC,∠BEC,∠BDC.

(5)AD,AE.

例2 阅读以下材料并填空.

平面上有n个点(n≥2),且任意三个点不在同一直线上,过这些点作直线,一共能作出多少条不同的直线?

(1)分析:当仅有两个点时,可连成1条直线;当有3个点时,可连成3条直线;当有4个点时,可连成6条直线;当有5个点时,可连成10条直线;…

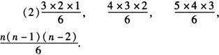
(2)归纳:考察点的个数n和可连成的直线的条数Sn,发现:

(3)推理:平面上有n个点,两点确定一条直线,取第一个点A有n种取法,取第二个点B有(n-1)种取法,所以一共可连成n(n-1)条直线,但AB与BA是同一条直线,故应除以2即

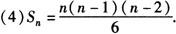
(4)结论

试探究以下问题:

平面上有n(n≥3)个点,任意三个点不在同一直线上,过任意三点作三角形,一共能作出多少不同的三角形?

(1)分析:当仅有3个点时,可作__个三角形;当有4个点时,可作__个三角形;当有5个点时,可作__个三角形;…

(2)归纳:考察点的个数n和可作出的三角形的个数Sn,发现:

(3)推理________.

(4)结论__.

(1)1,4,10

(3)平面上有n个点,过不在同一条直线上的三点可以确定一个三角形,取第一个点A有n种取法,取第二个点B有(n-1)种取法,取第三个点C有(n-2)种取法,所以一共可以作n(n-1)(n-2)个三角形,但△ABC,△ACB,△BAC,△BCA,△CAB,△CBA是同一个三角形,故应除以6,即

随便看

 

离鸟网收录3541549条中英文词条,其功能与新华字典、现代汉语词典、牛津高阶英汉词典等各类中英文词典类似,基本涵盖了全部常用中英文字词句的读音、释义及用法,是语言学习和写作的有利工具。

 

Copyright © 2004-2024 vtrois.com All Rights Reserved
更新时间:2026/4/9 8:35:55