对称方程duicheng fangcheng
若数域F上含有x1,x2,…,xn的解析式f(x1,x2,…,xn),对于1,2,…,n的任一个排列i1,i2,…,in都有f(x1,x2,…,xn)≡f(xi1,xi2,…,xin),则称f(x1,x2,…,xn)为关于x1,x2,…,xn的对称式.
若一个n元方程f(x1,x2,…,xn)=0中,f(x1,x2,…,xn)是关于x1,x2,…,xn的对称式,则称这个n元方程为对称方程.例如x+y=2,xy=1,x2+y2=3,x2y+xy2=0,(x+y+z) (xy+yz+zx)-3xyz=1等,都是对称方程.
在中学数学里,一般只研究某些特殊的二元对称方程和三元对称方程,以及由它们组成的对称方程组.
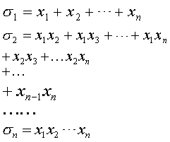
若对称式f(x1,x2,…,xn)是一个对称多项式,则f(x1,x2,…,xn)可以由它的初等对称多项式

来表示.例如x
2y+xy
2=xy(x+y),x
3+y
3=(x+y)·〔(x+y)
2-3xy〕.因此,在求解整式对称方程或方程组时,常常利用上述性质进行替换.
例如,解方程组

时,可作替换x+y=u,xy=v,把原方程组变为关于u,v的方程组

来求解.