网站首页  词典首页


请输入您要查询的字词:

 

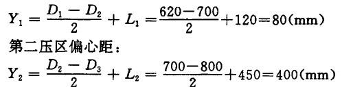
字词 三辊压榨的偏心距的计算
类别 中英文字词句释义及详细解析
释义 三辊压榨的偏心距的计算

【说明】 三辊压榨的两个压区压榨线压是否呈直线的判断方法与双辊压榨类同,如图1-15-64所示。

1.第一压区偏心距的计算

【公式】

式中 Y1——第一压区偏心距(mm) D1、D2——下辊和中间辊直径(mm)

L1——垂线(右)与下辊间距(mm)

2.第二压区偏心距的计算

【公式】

式中 Y2——第二压区偏心距(mm)

D3——上辊直径(mm)

L2——垂线(左)与中间辊面的间距(mm)

【例】 如图1-15-64所示,主动沟纹底辊D1=620mm,真空传动辊D2=700mm,L1=120mm,上石辊D3=800mm,L2=450mm,则偏心距为:

第一压区偏心距:

随便看

 

离鸟网收录3541549条中英文词条,其功能与新华字典、现代汉语词典、牛津高阶英汉词典等各类中英文词典类似,基本涵盖了全部常用中英文字词句的读音、释义及用法,是语言学习和写作的有利工具。

 

Copyright © 2004-2024 vtrois.com All Rights Reserved
更新时间:2026/4/7 10:29:18