网站首页  词典首页


请输入您要查询的字词:

 

字词 上四分位长度(Y121)
类别 中英文字词句释义及详细解析
释义 上四分位长度(Y121)

上四分位长度实际上即为:自最长纤维至试样总重量1/4处的长度指标。

是采用Y121型梳片式长度分析仪法对棉纤维长度进行测定中而得到的一长度指标。可用表示。

其也是Y121型梳片式长度分析仪作出的一个主要长度指标。通常情况下,上四分位长度这一指标应用较少。

50年代前后使用较多,曾规定以上四分位长度经过某些校正来修正手扯长度结果,做为收购棉花中的长度指导。后由于棉农对此不易理解而取消了此项规定,改由Y121梳片式长度分析仪的差数法重量主体长度修正手扯长度。

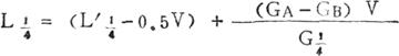
其计算公式为;

式中,为上四分位长度(以1/16英寸为单位),所在组的平均长度(组中值)(1/16英寸),V为组距(1/16英寸),所在组的重量(毫克),GA是自最长纤维组至所在组的各组重量之和(毫克),GB为试样总重量的1/4(毫克)。

从上四分位长度的定义分析,其主要与两个指标有直接关系,一是重量指标,二是长度指标。重量是试样总重量的1/4;长度即为总重量1/4处的长度。

这两项指标还与所在组的平均长度、组距、所在组的重量、自最长纤维组至所在组的各组重量之和、试样总重量的1/4都有直接关系。

同时,由于我们要求的是自最长纤维至试样总重量1/4处的长度,这一长度首先是由重量决定,所以试样棉束的重量分布情况在这里起著很大的作用。另外,还与该批棉样棉束的长度范围与分布有关,因为其决定了最长纤维到试样总重量1/4处的距离。

随便看

 

离鸟网收录3541549条中英文词条,其功能与新华字典、现代汉语词典、牛津高阶英汉词典等各类中英文词典类似,基本涵盖了全部常用中英文字词句的读音、释义及用法,是语言学习和写作的有利工具。

 

Copyright © 2004-2024 vtrois.com All Rights Reserved
更新时间:2026/4/6 19:52:42