网站首页  词典首页


请输入您要查询的字词:

 

字词 尼克酰胺腺嘌呤二核苷酸磷酸
类别 中英文字词句释义及详细解析
释义
尼克酰胺腺嘌呤二核苷酸磷酸

尼克酰胺腺嘌呤二核苷酸磷酸

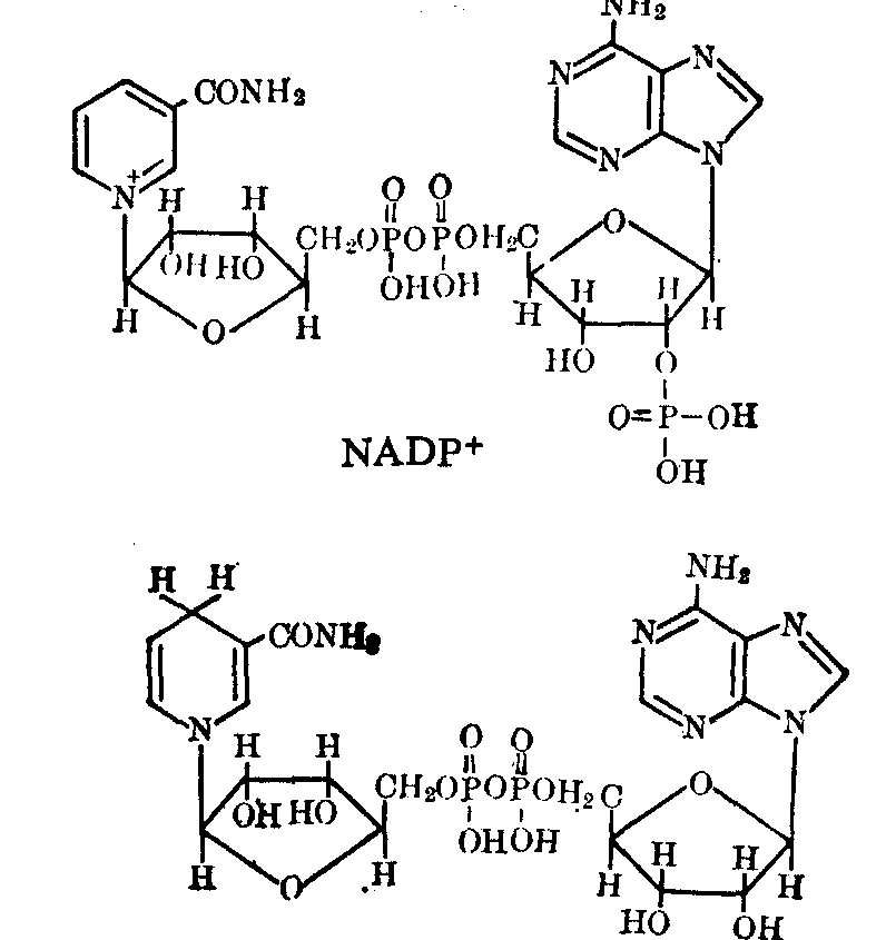
尼克酰胺腺嘌呤二核苷酸磷酸(NADP,曾称TPN和CoII)是一些不需氧脱氢酶的辅酶,有氧化型(NADP+)和还原型(NADPH)两种:


NADP+与酶蛋白的结合方式、递氢机理、吸收光谱以及其鉴定和定量的原理均与NAD+相同(见“尼克酰胺腺嘌呤二核苷酸”条)。
体内先合成NAD+,然后在与嘌呤碱相连的核糖2′位碳上,接上由ATP提供的一个磷酸基团,形成NADP+。
NADP+在脱氢反应中接受一个电子及一个氢原子,与NAD+类似(见“尼克酰胺腺嘌呤二核苷酸”条)。还原型作用物,如6磷酸葡萄糖和6磷酸葡萄糖酸,在相应脱氢酶催化下,脱下一对氢,产生NADPH及H+。NADPH可在转氢酶的作用下,把一个电子及一个氢原子转给NAD+,产生NADH。NADH分子中的一个电子及一个氢原子以及介质中的H+经一系列递氢体 (或电子传递体)传递,最后与1/2O2结合成H2O。
但是,体内产生的NADPH很少参入呼吸链,其主要功用有下列四方面:
(1) 作为供氢体,参与某些依赖NADPH的生物合成。例如脂肪酸、胆固醇等的生物合成都需要大量的NADPH提供氢。
(2) 在微粒体氧化中,作为混合功能氧化酶 (一种单加氧酶) 的辅助作用物,参与药物代谢或类固醇激素及胆汁酸合成等过程有关的羟化反应。
(3) NADPH是谷胱甘肽还原酶的辅酶,对于维持红细胞中还原型谷胱甘肽的正常含量有重要作用。
(4)作为硫氧化还原蛋白还原酶的作用物,间接地参与核糖核苷酸的还原,形成脱氧核苷酸。
不同组织或不同细胞器中NADP+和NADPH含量均不相同。兹将大鼠各组织中辅酶Ⅱ的两型含量列表于下:

大鼠各组织NADP的含量 (nmol/g)

 





可溶
部分

线粒
微粒
NADP+
NADPH
40
340
0
2
10
20
7
117
30
245
15
120
17
66
3
84
15
10
2
9
☚ 尼克酰胺腺嘌呤二核苷酸   黄素单核苷酸 ☛
00000760
随便看

 

离鸟网收录3541549条中英文词条,其功能与新华字典、现代汉语词典、牛津高阶英汉词典等各类中英文词典类似,基本涵盖了全部常用中英文字词句的读音、释义及用法,是语言学习和写作的有利工具。

 

Copyright © 2004-2024 vtrois.com All Rights Reserved
更新时间:2026/4/5 18:03:51