网站首页  词典首页


请输入您要查询的字词:

 

字词 尿苷二磷酸葡萄糖
类别 中英文字词句释义及详细解析
释义

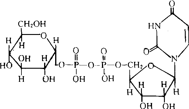
尿苷二磷酸葡萄糖uridine diphosphate glucose

一种糖核苷酸。葡萄糖的半缩醛羟基与尿苷二磷酸的末端磷酸基之间去水缩合而成的化合物。缩写符号为UDPG。结构式如下。在体内由尿苷二磷酸葡萄糖焦磷酸化酶催化合成,反应式为:葡萄糖-1-磷酸+尿苷三磷酸⇌尿苷二磷酸葡萄糖+焦磷酸。存在于植物、动物和微生物中,在蔗糖、淀粉、糖原及其他寡糖和多糖合成中作葡萄糖基的供体,亦可转变为尿苷二磷酸半乳糖和尿苷二磷酸葡萄糖醛酸。

尿苷二磷酸葡萄糖

简称“UDPG”。生物合成糖原时作为葡萄糖基给体的核苷磷酸糖。

随便看

 

离鸟网收录3541549条中英文词条,其功能与新华字典、现代汉语词典、牛津高阶英汉词典等各类中英文词典类似,基本涵盖了全部常用中英文字词句的读音、释义及用法,是语言学习和写作的有利工具。

 

Copyright © 2004-2024 vtrois.com All Rights Reserved
更新时间:2026/4/5 8:30:22