网站首页  词典首页


请输入您要查询的字词:

 

字词 上辊为中固辊或芯辊而下辊为普通结构辊的搭配计算
类别 中英文字词句释义及详细解析
释义 上辊为中固辊或芯辊而下辊为普通结构辊的搭配计算

【说明】 此种搭配方式,结构上并不复杂,也不会给操作上带来新的困难,用合理的中高度保证了压区内的均匀压力分布。但是用芯轴辊作为上辊时,虽有挠度小及必需的上下辊刚度比值小的优点,但因要定期润滑和更换轴承而使用上比较复杂,故较少采用。

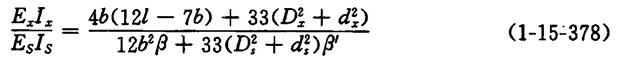
1.网宽大于2000mm的纸机的搭配计算

(1)上下辊刚度比的计算

【公式】

式中 ExIx——下辊刚度(N·m2)

EsIs——上辊刚度(N·m2)

l——辊筒轴承中心距(m)

b——辊面宽度(m)

β——弯矩挠度比,对于中固辊,β=0.45~0.5;对于芯轴辊,β=0.85~0.95;

计算见下

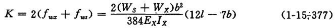
(2)当中高度与线压无关时上下辊总中高度的计算

【公式】

式中 fwx——下辊辊面两端相对于其中心横截面的弯矩挠度(m)

fws——上辊辊面两端相对于其中心横截面的弯矩挠度(m)

Ws、Wx——上、下辊筒重量(N)

其它同上

2.网宽小于2000mm的纸机的搭配计算

(1)上下辊刚度比的计算

【公式】

式中 ds、dx——分别为上、下辊壳的内径(m)

β′——中固辊的剪力挠度比

其它同上

(2)与线压变化无关的必需中高度的计算

【公式】

式中 fwJx、fwJx——上、上辊的弯矩、剪切总挠度(m)

Gx——下辊材料的剪切弹性模数(Pa)

Fx——下辊辊壳的截面积(m2)

其它同上

随便看

 

离鸟网收录3541549条中英文词条,其功能与新华字典、现代汉语词典、牛津高阶英汉词典等各类中英文词典类似,基本涵盖了全部常用中英文字词句的读音、释义及用法,是语言学习和写作的有利工具。

 

Copyright © 2004-2024 vtrois.com All Rights Reserved
更新时间:2026/4/9 9:12:33