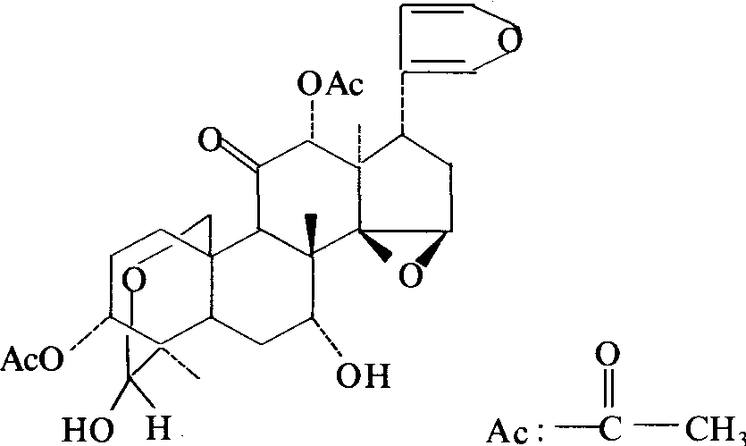
川楝素toosendanin具有拒食和胃毒作用的植物源杀虫剂,存在于楝科楝属植物川楝(Meliatoosendan)种核和叶子中。化学结构式: 
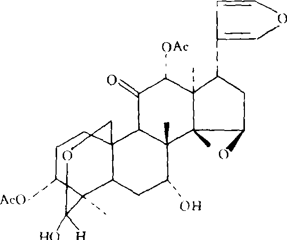
川楝素纯品为一白色针状结晶,无臭,味苦。易溶于乙醇、乙酸乙酯、丙酮、二氧六环、吡啶等,微溶于热水、氯仿、苯、乙醚等。熔点178~180℃(含一分子结晶水)。川楝素对高等动物毒性低,小白鼠口服LD50 244~477.7毫克/千克。在医学上可用作驱蛔虫药。在农业上,对多种鳞翅目幼虫有很好的防效。作用方式主要为拒食及胃毒作用。川楝素300毫克/升喷雾,对菜青虫(Pieris rapae)的防效可达70~80%;用川楝素300毫克/升和速灭杀丁1毫克/升或灭幼脲Ⅰ号2.5毫克/升混用,对菜青虫有90%以上的防效。川楝素toosendanin从川楝树皮中抽提分离得到的具有拒食和胃毒作用的植物杀虫剂。可作医药用于防治人体寄生虫。化学结构式见右。川楝素已证明对多种昆虫具有拒食、胃毒、内吸及生长发育抑制作用。400 mg/kg川楝素防治菜青虫(菜粉蝶幼虫)效果显著。 
川楝素toosendanin系从川楝树的根木或树皮中提出的一种驱肠虫有效成分。本品有驱除蛔虫、蛲虫和鞭虫的作用。临床主要用于驱蛔虫,效果明显,优于山道年。睡前顿服,成人1次250mg;儿童2~4岁50~100mg,4~8岁100~150mg,8~15岁150~200mg,16岁以上200~250mg。本品副作用少,无需禁忌。 |