不同洗涤方式用水量及洗涤时间的计算与比较
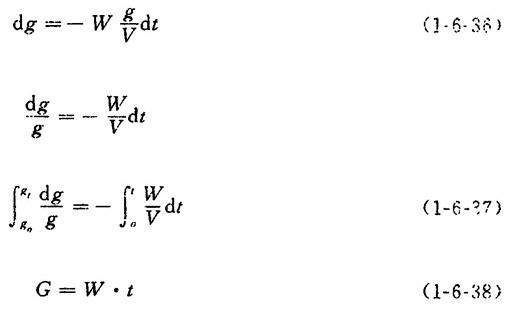
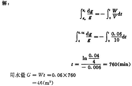
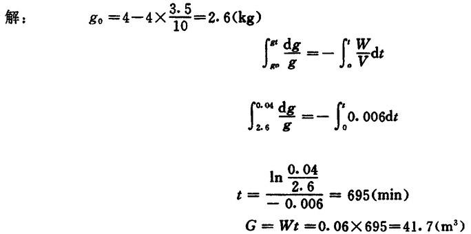
【说明】 对于循环式洗浆池,所采取的洗涤方式不同,其效益和时间是不同的,下面按不同的方式进行计算及比较。 (一)积分洗涤法的计算 【说明】 浆量一定,在运行中进入清水量(单位时间内)等于滤液抽出量,保持浆位平稳,定时抽检残碱含量(符合工艺要求时为止),可用积分法进行洗涤用水量和洗涤时间的计算,故称积分洗涤法, 【公式】  式中 dg——残碱增量 dg=加入量-排出量=-排出量 (因为加入为清水) W——滤液体积流量(m3/min) g——浆料中残碱(NaOH)重量(kg) V——浆料体积(m3) t——洗涤时间(min) G——用水量(m3) 【例1】 已知某洗浆机的浆料体积V=10m3,残碱重量(NaOH)g0=4kg(pH=12)。过滤流量W=0.06m3/min,终点残碱gt=0.04kg,求洗涤时间和用水量。  (二)降浓积分洗涤法 【说明】 洗涤开动搅拌后,暂不进清水,先抽出3.5m3黑液,然后才边进清水边抽滤液。因黑液浓度降低,故称降浓积分洗涤法。 【公式】 同式1-3-36、1-6-37和1-6-38。 【例2】 在例1中10m3的浆,开动搅拌后,先抽出3.5m3黑液,其它条件均不变,求洗涤时间和用水量。  【讨论】 显然,这种方法比第一种方法缩短了一个小时,节约水4m3。 (三)级数洗涤法 【说明】 该法采取稀释、浓缩交替进行的方法洗涤浆料。随著稀释、浓缩周期的增加,浆料中的残碱浓度递减、形成收敛级数关系,故称级数洗涤法。 【公式】  式中 xn——经n次稀释后终点残碱的浓度(kg/m3或g/L) x0——稀释前残碱浓度(kg/m3或g/L) n——稀释次数 α——每次浓缩后浆料体积量(m3) b——每次稀释时稀释水加入量(m3) 【例3】 某浆池中浆料体积为10m3,残碱总量为4kg,终点残碱量0.04kg,采取级数洗涤法洗涤。其浓缩时抽滤黑液量为3.5m3,稀释时浆池液位至12m3,试计算洗涤的次数及用水量。 解:稀释前浆中残碱量g0=4-4× =2.6(kg) 稀释前浆中残碱浓度x0= = =0.4(kg/m3) 终点时残碱的浓度xn= = =0.006(kg/m3) 浓缩后浆料体积量α=10-3.5=6.5(m3) 稀释时稀释水加入量b=12-6.5=5.5(m3)  【讨论】 通过计算比较,级数洗涤法最节省,且由于大稀释引起残碱的大浓度差,有利于其向外扩散。为此比较优越。只是操作稍微麻烦一些,另外,加水时应在搅拌器之前洗浆后加入,效果会更好。 |