
5.倒数法则:
.
6.乘方法则:a>b>0
an>bn(n∈N且n>1).
7.开方法则:
(n∈N且n>1).
例1 若a
A.不等式
和
均不能成立
B.不等式
和
均不能成立
C.不等式
和
均不能成立
D.不等式
和
均不能成立
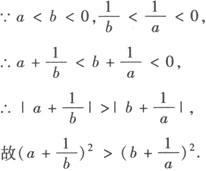
解 ∵b<0,∴—b>0,∴a—b>a,
又∵a—b<0,a<0,
∴
,故
不成立.
∵a|b|>0,
∴
,故
不成立.
由此可选B.
另外,A中
成立.
C与D中
成立,其证明如下:

例2 已知三个不等式:
❶ ab>0,
❷
,
❸ bc>ad,以其中两个作条件,余下一个作结论,则可组成( )个正确命题.
解 对命题❷ 作等价变形:
,
于是,由ab>0,bc>ad可得❷ 成立,即❶ ❸
❷ ;
若ab>0,
,则bc>ad,故❶ ❷
❸ ;
若bc>ad,
,则ab>0,∴❷ ❸
❶ ;
∴可组成3个正确命题.
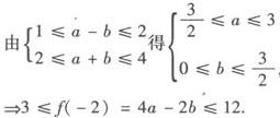
例3 设f(x)=ax2+bx,且1≤f(—1)≤2,2≤f(1)≤4,求f(—2)的取值范围.
分析 本题考生容易错解如下:

错误的原因是三次用到了同向不等式相加的性质,导致f(—2)的取值范围的扩大.
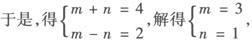
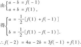
解 设f(—2)=mf(—1)+nf(1)(m,n为待定系数),
则4a—2b=m(a—b)+n(a+b),即
4a—2b=(m+n)a—(m—n)b,

∴f(—2)=3f(—1)+f(1).
∵1≤f(—1)≤2,
∴2≤f(1)≤4,
∴5≤3f(—1)+f(1)≤10,故5≤f(—2)≤10.
以上解题过程简化如下:
