网站首页  词典首页


请输入您要查询的字词:

 

字词 常弹性
类别 中英文字词句释义及详细解析
释义
常弹性

常弹性Constant Elasticity

又称 “不变弹性” 或 “固定弹性”。一个经济变量对另一个经济变量的弹性并不随着后者变动而变动。对一般需求函数

xi=xi(p1,p2,p3,…,pn,m)

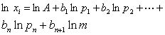
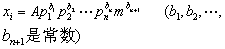
来说,对第i种商品的需求弹性(自价格弹性Eii,交叉价格弹性Eij和收入弹性Eim)也是商品价格pi和收入m的函数。但对于某些特殊的需求函数,需求弹性在整个定义域内是一固定常数。如需求函数是幂函数形式:

或写成对数形式:

在整个定义域内需求弹性是不变的:

Eii=bi,Eij=bj,Eim=bn+1


〖参〗点弹性
 弧弹性
☚ 弧弹性   偏好尺度 ☛
00000200
随便看

 

离鸟网收录3541549条中英文词条,其功能与新华字典、现代汉语词典、牛津高阶英汉词典等各类中英文词典类似,基本涵盖了全部常用中英文字词句的读音、释义及用法,是语言学习和写作的有利工具。

 

Copyright © 2004-2024 vtrois.com All Rights Reserved
更新时间:2026/4/9 13:38:54