网站首页  词典首页


请输入您要查询的字词:

 

字词 平均差
类别 中英文字词句释义及详细解析
释义

平均差

一组观察值各自与该组的算术平均数的差的绝对值的算术平均数,记为AD,用x1,x2,…,xn表示观察值,其算术平均值为x-,则AD=。常被应用于测验分数统计中。

平均差average deviation

衡量总体中各标志值之间差异程度的一种指标。统计数列中各标志值与平均数的离差的绝对值的算术平均数。计算公式为:

在分组数列的条件下,计算公式为:

式中为平均差;为标志值的算术平均数;x为各标志值;f为标志值的相应权数;n为标志值的个数。平均差越大,总体中各标志值的差异程度越大;反之,则越小。平均差通常要和算术平均数结合使用。
平均差

平均差pingjuncha

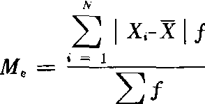
指每个数据与该组数据的集中量数(如平均数、中位数)之差(亦称离差)的绝对值的算术平均数。一般用符号AD表示,其公式为


式中 N——数据个数
——平均数
Md——中位数
|Xi-| (或|Xi-Md|)——i数据与平均数(或中位数)之差的绝对值
对已分组数据,则用下式计算平均差

式中 fi——各组的次数
X——各组的组中点
其余符号同前式
平均差意义明确,计算容易,且考虑到了全部离差,受两极数值影响较小。但计算中要用绝对值,不便于代数运算。
☚ 极差   方差与标准差 ☛

平均差

各单位标志值与平均数的离差绝对值的算术平均数。反映总体中各单位标志值的变异程度。计算公式是:

∑为总和符号,x为变量,为算术平均数,n为变量值的个数。平均差越小,表示各个变量值之间的差异程度越小,平均数的代表性越大。

平均差Mean Deviation

变量与其均值之差的绝对值的平均数。x1,x2,…,xn代表各个观察值,MD代表平均差,代表样本均值,则平均差的公式为:

MD=∑|Xi-|/n

平均差Mean Deviation

总体所有单位的平均值与其算术平均数的离差绝对值的算术平均数。平均差是测定标志变动度的一个指标,能把总体各单位标志值的变异综合起来,反映各标志值与算术平均数之间的平均差异。平均差异大,表明各标志值与算术平均数的差异程度越大,该算术平均数的代表性就越小;平均差越小,表明各标志值与算术平均数的差异程度越小,该算术平均数的代表性就越大。

平均差

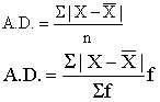
各个标志值对其算术平均数的平均离差。它是测定标志变动度的一个指标,能把总体各单位标志值的变异都综合起来。平均差愈大,标志变异程度愈大;平均差愈小,标志变异程度愈小。平均差计算上可分为简单平均式与加权平均式两种。公式如下:


式中,A. D. 代表平均差; ∑为加总符号;X代表各个标志值; X代表算术平均数; f为每个变量值的次数;∑f为总次数;n代表总体单位数 (项数)。
平均差

平均差means deviation

各个标志值对其算术平均数的平均离差。它是测定标志变动度的一个指标,能把总体各单位标志值的变异都综合起来。平均差愈大,标志变异程度愈大;平均差愈小,标志变异程度愈小。平均差计算上可分为简单平均式与加权平均式两种。公式如下:

式中,A.D.代表平均差;∑为加总符号;X代表各个标志值;代表算术平均数;f为每个变量值的次数;∑f为总次数;n代表总体单位数(项数)。
☚ 极差   数量指标 ☛
平均差

平均差mean deviation

总体中各单位数值偏离均值的绝对离差的算术平均数。平均差与离差成正比,即平均差愈大,显示资料相互间的离差也愈大,平均差愈小,则离差也愈小。平均差也是测度资料中各数值之离差程度,由于各个变量值与算术平均数的离差之和等于零,各项离差的平均数也等于零,为了避免这种情况,在计算平均差时,采取了离差的绝对值。在资料未分组情况下,使用简单平均差测度,公式为:

其中X是各单位数值;是平均值。在分组情况下,要用加权法计算,公式为:

其中Xi为各单位数值;X为平均值。平均差在应用时虽较全距来说受极端值影响小,代表性更充分些,但由于在计算时取离差绝对值,不适于代数运算,所以应用也受到一定的限制。平均差考虑到数列中各个标志值的变异程度对整个数列变异程度的影响,因而比较全面、客观地反映数列的变异程度,但同时,其计算结果也易受极端数值的影响,而且由于计算平均差时采用了绝对值来消除正负号的影响,这不宜进一步的代数演算,因此其应用受到限制。
☚ 艾尔默·罗珀   平均数指数 ☛
平均差

平均差

各变量值与其算术平均数的离差的绝对值的算术平均数。

☚ 修正距   标准差 ☛
平均差

平均差

总体各单位标志值与平均数的离差的绝对值的算术平均数。其计算公式为:(简单式)(加权式)
式中,A·D表示平均差; x代表总体各单位的标志值,在组距数列中,x代表各组的平均值或组中值;表示各单位标志值的平均数; f表示权数; n表示变量的个数。例如,某委员会五个委员的年龄分别为20、25、60、68、72,平均年龄为49岁,则年龄的平均差为:

平均差与总体中每个标志值的大小都有关,比全距更能综合反映总体标志变异度。平均差越大,说明标志变异度越大。由于各标志值与平均数离差的代数和恒等于零,故取离差绝对值。但用绝对值不适合代数方法演算,所以统计中很少用平均差。
☚ 全距   均方差 ☛
平均差

平均差average deviation

各变量值的离均差的绝对值的算术平均数,用AD表示。单项数列计算平均差的公式为:


式中Xi为各变量值,X为各变量值的均数,N为变量值的个数。组距数列计算平均差的公式为:


式中mi为第v组的组中值,fi为第v组的频数,为各组频数之和。平均差以全部变量值为根据计算,可描述离中趋势。平均差虽然具有计算简便,容易理解和能说明分布中全部变量值的差异情况等优点,但由于不适合代数方法处理,易受极端变量值的影响,故用途大受限制。
☚ 平衡觉   平均差误法 ☛
00000903
随便看

 

离鸟网收录3541549条中英文词条,其功能与新华字典、现代汉语词典、牛津高阶英汉词典等各类中英文词典类似,基本涵盖了全部常用中英文字词句的读音、释义及用法,是语言学习和写作的有利工具。

 

Copyright © 2004-2024 vtrois.com All Rights Reserved
更新时间:2026/4/7 1:14:04