网站首页  词典首页


请输入您要查询的字词:

 

字词 平均指标指数体系
类别 中英文字词句释义及详细解析
释义
平均指标指数体系

平均指标指数体系

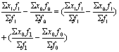
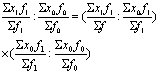
在统计资料分组条件下,平均数指标的变动,取决于各组平均数指标的变动和各组单位数在总体中所占比重变动的影响。反映总平均水平变动的相对数称可变构成指数; 反映总体内各组平均水平变动对总平均指标变动产生影响的指数称固定构成指数; 反映总体内各组结构变动对总平均指标变动产生影响的指数称结构影响指数。其相对比例关系组成平均指标指数体系。公式如下:
可变构成指数=固定构成指数×结构影响指数

上式指数体系在平均水平的绝对差异为:

☚ 平均增减速度   对数平均数 ☛
00003901
随便看

 

离鸟网收录3541549条中英文词条,其功能与新华字典、现代汉语词典、牛津高阶英汉词典等各类中英文词典类似,基本涵盖了全部常用中英文字词句的读音、释义及用法,是语言学习和写作的有利工具。

 

Copyright © 2004-2024 vtrois.com All Rights Reserved
更新时间:2026/4/5 18:30:23