网站首页  词典首页


请输入您要查询的字词:

 

字词 平均消费倾向
类别 中英文字词句释义及详细解析
释义

平均消费倾向Average Propensity to Consume,APC

在一定收入水平中消费量所占的比例。在消费函数中,如果用C代表消费量,Y为收入量,则平均消费倾向表示为:APC=C/Y。凯恩斯主义认为,消费随总收入的变化而有规律地变化,即收入量增加(或减少),则消费量相应地增加(或减少),但消费量的增加比例小于收入的增加,在消费函数中,APC随收入的增加而逐步减小,反之亦然,当APC为1时,即为收支平衡比率。平均消费倾向与边际消费倾向共同构成凯恩斯就业理论的重要支柱,APC大于MPC。

平均消费倾向Average propensity to consume

消费总量在收入总量中所占的比例。Y代表收入,C代表消费,则平均消费倾向为APC =C/Y。当收入与消费支出相等时,APC= 1; 当收入高于消费支出时,APC< 1; 当收入低于消费支出时,APC>1。因为人们不论在什么情况下都要消费,所以平均消费倾向APC将永远是大于零的正数。一般情况下,平均消费倾向都小于1。因为全部收入分为消费与储蓄两部分,以S代表储蓄,则C+S=Y。两边均除以Y,可以得到平均消费倾向与平均储蓄倾向之和必定等于1。随着收入的增加,平均消费倾向是递减的。由于边际消费倾向递减这一心理规律的作用,就消费增加愈来愈低于收入增加的情况而言,平均消费倾向和边际消费倾向都是递减的,但是平均消费倾向大于边际消费倾向。随着经济的周期波动,消费倾向也会发生变动。一般在经济繁荣时的平均消费倾向低于长期的平均消费倾向,在衰退时期的平均消费倾向高于长期的平均消费倾向。

平均消费倾向Average Propensity to Consume(APC)

亦称“消费倾向”。消费在收入中所占的比例,计算公式为:APC=C/Y。其中,C为消费,Y为收入。它是与储蓄倾向相对而言的一个概念。从长期看,消费倾向是比较稳定的,因而收入对消费结构的影响,服从于收入水平与消费结构的关系。

平均消费倾向

某一个消费总体中,人们在一定时期的消费总支出在其总收入中所占的比例。参见“消费倾向”。

平均消费倾向

平均消费倾向Average Propensity to Consume,APC

在任何既定收入水平上,一定时期内收入中消费所占的比例。如果用Y表示收入,C表示消费,则平均消费倾向可表示成:APC=C/Y。它与边际消费倾向不同,后者指消费增减对收入增减的比率。凯恩斯认为,当收入增加时,平均消费倾向将呈下降趋势,即人们消费增长的速度将低于收入增长的速度,结果将造成经济的停滞。为了抵消平均消费倾向下降的趋势,凯恩斯主张增加政府开支,使政府开支的增长速度超过收入的增长速度,以保证经济的持续增长。

☚ 凯恩斯主义消费函数   边际消费倾向 ☛
平均消费倾向

平均消费倾向Average Propensity to Consume

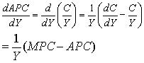
英国经济学家凯恩斯(J. M. Keynes)提出的概念。指一定量收入中消费额所占的比例,即平均每单位收入中的消费额。计算公式为:

式中,APC表示平均消费倾向,C和Y分别表示消费和收入。根据消费函数,C是收入Y的函数,所以APC也是Y的函数。APC曲线的形状,取决于边际消费倾向(MPC)和平均消费倾向(APC)差额的大小,即:


APC曲线向右上方倾斜;曲线向右下方倾斜;=0,APC曲线与横轴平行。APC的几何描述为消费曲线上的相应点与原点连线的斜率。
〖参〗消费倾向
 边际消费倾向
☚ 消费倾向   边际消费倾向 ☛
平均消费倾向

平均消费倾向average propensity to consume,APC

“边际消费倾向”的对称。消费在收入中所占的比例。以Y代表收入,C代表消费,则平均消费倾向的公式为:

在一般情况下,平均消费倾向大于零而小于1。因为全部收入分为消费与储蓄两部分。所以,平均消费倾向与平均储蓄倾向之和必定等于1。对长期消费统计资料的研究证明,在短期中平均消费倾向大于边际消费倾向,在长期中平均消费倾向等于边际消费倾向。参见“边际消费倾向”。
☚ 引致支出   边际消费倾向 ☛
00000372
随便看

 

离鸟网收录3541549条中英文词条,其功能与新华字典、现代汉语词典、牛津高阶英汉词典等各类中英文词典类似,基本涵盖了全部常用中英文字词句的读音、释义及用法,是语言学习和写作的有利工具。

 

Copyright © 2004-2024 vtrois.com All Rights Reserved
更新时间:2026/4/6 23:10:25