网站首页  词典首页


请输入您要查询的字词:

 

字词 年金
类别 中英文字词句释义及详细解析
释义

年金niánjīn

〈名〉 企业为职工缴纳的社会福利保险金。

年金niánjīn

〈名〉年薪。

年金

联邦德国企业发给职工的一种带有年终奖励性的奖金制度。年金包含两层意思:一是对职工一年来工作成绩的表彰;二是以备职工过圣诞节之用。年金标准,除发给优秀职工2—3个月的工资以外,职员另给2300—2500马克;工人年满18岁的另给2201马克,不满18岁的(包括青工和培训的学员)另给1052马克。

年金

人寿保险的一种形式,分期给付保险金的生存保险。被保险人交付保险费后,自约定时间起,保险人按期支付一定的保险金,直至规定期间届满或被保险人或指定人死亡时为止。分期支付的保险费即为年金。年金保险的目的是为被保险人养老提供生活费保障,具有可分为趸缴保费年金、分期交费年金、个人年金、联合年金、联合最后生存年金、即期年金、延期年金、定额年金、变额年金、终身年金、定期年金等多种形式。

年金

要把退休金(pensions)和年金明确地加以区别,并不是每个国家经常都能做到的,因许多雇主都是以年金的形式提供退休金,而年金的来源则靠按期支付保险费。但毕竟可以这样说:退休金是为了过去的雇佣关系,根据特定的法律和规章而支付的,而年金则是根据人人都能达成的个人协议而支付的。年金可以以数年为期,也可以终生按年收取,而且保险费的付款人和受益者并不一定是同一个。在税收条约中,往往给年金下这样的定义:“年金”一词,系指在某人一生中一段规定的时间,或一段特定、指定的时间内,为承担法定责任,以付出现金或相当现金的价值来达到充分的抚恤效果。在很多情况下,可以与保险公司订立契约来支付年金,也可能通过其它方式,例如卖出一笔产业,换得一笔在一定期限内支付年金的权利。在英国,可以建立一笔信托基金来支付以后的年金。在法国,老年人往往把住房卖掉,以换取终身年金和死前仍在该房的居住权。许多国家,例如美国,为年金所付的保险费和年金本身,在计征所得税时是不能扣除的。

年金Annuity

每隔相同的期间(如每年或每月)收入或支出的一系列相等数额的款项。根据年金的支付特点分为:
❶普通年金,即在每期末收入或支出一系列相等数额的款项;
❷即付年金,即在每期初收入或支出等额款项;
❸递延年金,即在签约后的某一时间开始每隔相同期间收入或支出等额款项;
❹永续年金,即无限期持续相同期限收入或支出等额款项。

年金

将一个较长时期分为若干个较短的小时期,在每一个小时期内金额固定的收付款项。比如,某人在三年内每年都能获得一万元固定的收入,这一万元收入便是一种年金。年金分为普通年金、先付年金和永续年金。普通年金是指收付发生在每期期末的年金,先付年金是指收付发生在每期期初的年金,永续年金是指无限期支付的普通年金。

年金

每隔一个确定的时期收受或支付一定金额货币的经济行为,每次支付或收受的金额叫年龄金额,亦简称作年金。年金可分为以下几种:
❶根据缴费方法分为趸缴年金和年缴年金;
❷根据被保险人数分为个人年金、连生生存者年金和连生年金;
❸根据给付单位分为定额年金和变额年金;
❹根据给付开始日期分为即付年金和延付年金;
❺根据给付日期分为终身年金和短期年金等等。

年金

年金annuity

每隔相同的期间(如每年或每月)收入或支出的一系列相等数额的款项。根据年金的支付特点分为:
❶普通年金,即于每期末收入或支出一系列相等数额的款项;
❷即付年金,即在每期初收入或支出等额款项;
❸递延年金,即于签约后的某一时间开始每隔相同期间收入或支出等额款项;
❹永续年金,即无限期持续相同期限收入或支出等额款项。
信托公司开办的养老金信托,通常以年金的形式向受益人支付养老金,这样可使职工在退休后有稳定的生活来源,故人们把养老金信托亦称为年金信托。根据年金的资金来源的不同和设立制度的不同,年金又分为:个人年金、企业年金和公共性年金。

☚ 见证   个人年金 ☛
年金

年金Annuity

在一定时期内,按相等的间隔期(每间隔1年、半年、3个月或1个月等)支付或收取的相同金额。年金的支付(收取)发生在每期期末的,称为“普通年金”或“后付年金”;年金的支付(收取)发生在每期期初的年金,称为“即付年金”或“预付年金”;支付(收取)出现在第一期末以后某一期间的年金,称为“递延年金”;无限期继续支付(收取)的年金,称为“永续年金”。普通年金是年金的基本形式,其他各种形式的年金,都是普通年金的转化形式。
年金现值 按复利法计算的在一定期间内每期支付(或收取)的等额货币的现值。计算公式为:


式中:PV——年金现值;A——各期的年金值;i——利率;n——期数。式中(1+i)n-1/i(1+i)n称年金现值因子,通常以(PV/A,i,n)表示。
年金终值 按复利法计算的在一定期间内每期支付(或收取)的等额货币的终值。计算公式为:


式中:FV——年金终值;A——各期的年金值;i——利率;n——期数。式中(1+i)n-1/i称年金终值因子,通常以(FV/A,i,n)表示。
☚ 现值   机会成本 ☛
年金

年金Annuity

亦称“养老金”。人寿保险的投保人自投保之日起由保险公司每年或半年给付的生活费。从保险公司领取年金的投保人,要按保险条款规定,一次或分期缴付保险费。从约定的投保之日起,保险公司即对受益人按期给付年金,直至受益人死亡为上。

☚ 大数定律   养老金 ☛
年金

年金

凡在一定时期内,每隔相同时期(一年、半年、一季等) 收入或支出相等金额的款项。根据收入或支出发生情况的不同,可分为普通年金、预付年金、递延年金和永续年金四种。

☚ 货币时间价值   递延年金 ☛
年金

年金

每间隔相同的期间收入或支出的一系列相等数额的款项。年金一般包括四种: (1) 普通年金,是于每期期末收入或支出的一系列相等数额的款项。其终值 (F) 的计算公式为:

式中,B表示每间隔相同期间收入或支出的等额款项,i表示利率,n表示期数; 其现值 (P) 的计算公式为:

式中,S表示每间隔相同期间收入或支出的等额款项。(2) 即付年金,是于每期期初收入或支出的一系列相等数额的款项。其终值 (F) 的计算公式为:

现值 (P) 的计算公式为:

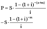
(3) 递延年金,是于第一期期末以后的某一时间开始每间隔相同期间收入或支出的等额款项。其现值(P) 的计算公式为:

式中,m表示开始收入或支出款项以前的期数,n为收入或支出款项的期数。(4) 永续年金,指无限期持续收入或支出的一系列等额款项。其现值 (P) 的计算公式为:式中,R表示无限期持续收入或支出的一系列等额款项。
☚ 投资效益分析   现值 ☛

年金

pension


年金

annuity


年金

annuity

随便看

 

离鸟网收录3541549条中英文词条,其功能与新华字典、现代汉语词典、牛津高阶英汉词典等各类中英文词典类似,基本涵盖了全部常用中英文字词句的读音、释义及用法,是语言学习和写作的有利工具。

 

Copyright © 2004-2024 vtrois.com All Rights Reserved
更新时间:2026/4/8 22:07:48