年金折旧法annuity method of depreciation考虑固定资产投资的利息和固定资产残值的现值来计提折旧的方法。采用这种方法,每年计入产品成本的折旧额,不仅包括固定资产价值的转移部分,而且还包括固定资产投资的利息。每年折旧额的计算公式如下:  式中D为每年的折旧额;c为固定资产的原值;s为固定资产的残值;r为利率;n为固定资产的使用年限。在固定资产使用期限内历年计提的折旧额要换算成投资时的现值,即:第一年计提折旧的现值为: ;第二年计提折旧的现值为: ;……第n年计提折旧的现值为 。同样,固定资产残值也要折合成现值,即 。以上各年计提折旧额的现值总和加上残值的现值,应等于固定资产原值(c)。这种方法计算较复杂,主要是在投资决策选择方案时采用。年金折旧法以应提取该固定资产折旧的数额加上每年结转的折余价值所应计提的利息之和,分摊在它的使用年限内的一种折旧方法。采用这种方法,每年的折旧额是逐年递增的。英文为AnnuityMethod of Depreciation。其计算公式为:   
[例] 设备一台,原值10000元,可用5年,估计残值1000元,年利率三厘,则  
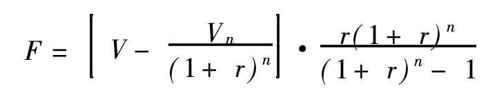
第一年利息=10000×0.03=300(元) 第一年折旧额=1995.19-300=1695.19(元) 第二年利息=8304.8(第一年折余价值10000-1695.19)×0.03=249.14(元) 第二年折旧额=1995.19-249.14=1746.05(元) 其余依此类推。年金折旧法把固定资产投资的利息考虑进去计算折旧的方法。每年提取的折旧额不仅包括固定资产的损耗部分,还包括投资的利息。所以,在固定资产的使用年限内,各年提取的折旧额是以投资时的现值计算的。其计算公式如下:  式中F表示每年提取的基金数,r表示利率,V表示固定资产的原始价值,Vn表示固定资产的预计净残值,n表示固定资产的预计使用年限。年金折旧法 年金折旧法将各期折旧费用视为年金,并用年金计算方法来计提折旧额的方法。这种方法的理论依据是考虑了货币的时间价值,将资产成本视为各期折旧费用(类似于年金) 和残值的现值,因而,将残值的现值从资产成本中减去,其剩余数额即为折旧费用的年金现值。其计算公式: 
式中,d1表示每期的折旧额,C表示资产成本,S(1+i)-n表示残值的现值,n表示估计使用年限,P  为年金现值: 利率为i, 时期为n,可以从年金现值表中查得。 ☚ 加速折旧法 偿债基金折旧法 ☛ 年金折旧法annuity depreciation method |