网站首页  词典首页


请输入您要查询的字词:

 

字词 序数
类别 中英文字词句释义及详细解析
释义

序数;叙述

◉ 序数xùshù  表示次序的数目。汉语表示序数的方法,通常是在整数前面加“第”,如第一、第十二。此外还有些习惯的表示法,如头一回、末一次、正月、初五、大女儿、小儿子。序数后边直接连量词或名词的时候,可以省去“第”,如二等、三号、四楼、五班、六小队、1949年10月1日。〈例〉~词/ 认识~/ 请按所标~阅读/ 老师让我们知道了~的含义及在实际生活中运用的规律。
◉ 叙述xùshù  将事情的经过写下来或说出来。〈例〉~文/ ~生动/ 详细的~/ 他的~很有条理/ ~清楚比语言优美更重要/ 李师傅向他仔细地~了事情发生的全过程。〈近〉记叙/ 讲述。

序数

指表示次序先后的数。如“第一、第三”。参见“序数词”。

基数←→序数jī shù ← → xù shù

基数:一、二、三、二百、五千等普通整数。
序数:表次序的数目,如第一、第二、第二百等。
【例】 普通的序数,是在基数的前面加上一个“第”字。(王力:《中国现代语法》)

序数

表示事物次序的数词。如“第一”、“第五”等。殷商时代,基数词和序数词在形式上没有区别。如《殷契粹编》三六: “沉三羊”, “三”是基数; 《殷虚文字乙编》:“三月乙丑夕雨”, “三”是序数。到周秦时,出现了一些区别序数词的方法,如《周易》中有“初一”、“次二”、“次三”的说法,但还不是严格意义的序数词。汉代,作为序数词标志的“第”逐渐通行,序数词后并可带名词。如《论衡·吉验篇》:“光武帝……生于济阳宫后殿第二内中。”(内中:后庭之室。)序数词的这种形式,从此趋于固定,沿用至今。

序数

序数

指表示次序等级的数词。王力《中国现代语法》:“凡非表示数量,而系表示等级之类的数词,叫做序数。” “普通的序数,是在基数的前面加上一个‘第’字。”高名凯《汉语语法论》:“现在的口语,序数多半是在数目字前加上‘第’字来表示。‘第’是‘等第’,本来有‘序’的意思。……在上古的文献中,这种用法并且是不存在的。”张志公主编《现代汉语》:“序数:在整数前加上次第的 ‘第’,就可以表示序数,表示事物在计算或者排列时的次序(第一,第一千零一)。如果后边直接连用名词,有时可以不用 ‘第’(一号楼,四班,二中队)。除了加‘第’ 表示序数,还有一些习惯用法(头一回,末班,正月初一,元月,大儿子,小儿子)。”参见“基数。”

☚ 基数   倍数词 ☛
序数

序数

第(~五;~十)
第一:一(压一;天下第一) 头(头号;头名;当头) 首(首位;首先;首冠;榜首;首屈一指) 甲(甲等;~级;首甲) 冠(冠首;摽冠;三连~;全国之冠) 魁(魁首;大魁;元魁;夺~) 状元 巨拇 称首
第一的:初(初一) 大(~伯;老~)正(~月;~旦) 元(~月;~旦;~配) 长(~兄)
第二:二(老二) 次(~日;~子;其~) 亚(~子;~军) 仲(~兄)乙(~等;~级) 副(~职;~手)
第三:三(老~) 丙(~等) 叔(~弟)
第四:四(老~) 丁(~等)
(表示次序的数目:序数)

另见:次数 名次

☚ 名额   次数 ☛
序数

序数xushu

又称序相,是一个初始概念.由于相似关系≃是有序集之间的一种等价关系,因此,可以用相似关系对有序集进行等价分类.称属于同一类的有序集为具有同一序数的集合.有序集(A,≤A)的序数记作〔(A,≤A)〕即〔(A,≤A)〕=〔(B,≤B)⇔(A,≤A)≃(B,≤B).
任何一个有限集合{a1,a2,…,ak}都是有序集,而且是良序的.其序数与基数都是k,序数k可以理解为有序集{a1,a2,…,ak}的末元素是第k个.
同规定空集Φ和单元素集的基数一样,也规定空集Φ的序数为0,单元素集的序数为1.
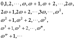
序数可以看作用来编序的自然数(第一,第二,第三,……)的推广.序数可以比较大小,并且在任一序数之后必有一个紧跟着它的序数.如果有序集(N,≤)的序数〔(N,≤)〕=ω,那么将所有的序数由0开始,从小到大排列起来就形成一个无穷序列

☚ 良序集   序相 ☛
序数

序数xushu

用以表示物体排列次序的自然数,叫序数,用“第几”来表示。例如:小朋友排队,小昕站第三,这个“第三”就是序数。序数有方向性,它会因排列的起始方向的不同而不同,如从左到右,排在最左边的就是第一,反之最右边的就是第一;楼房的层次从下面开始,最下面的是第一层;小动物赛跑,跑在最前面的就是第一……幼儿对序数的掌握要晚于基数,因为它不仅要求幼儿有一定的数的概念,还要有一定的序列观念,从中班开始,可以对幼儿进行序数教学。

☚ 基数   偶数 ☛

序数

集合论概念。一集合α是一序数,如果:(1)α是∈传递的(“∈”读作并表示“属于”),即如果x∈α,y∈x,则y∈α;(2)α是为关系∈良序的。序数用希腊字母α、β、γ等表示。ω表示自然数集合的序数。

序数

ordinal number

随便看

 

离鸟网收录3541549条中英文词条,其功能与新华字典、现代汉语词典、牛津高阶英汉词典等各类中英文词典类似,基本涵盖了全部常用中英文字词句的读音、释义及用法,是语言学习和写作的有利工具。

 

Copyright © 2004-2024 vtrois.com All Rights Reserved
更新时间:2026/4/5 15:16:22