网站首页  词典首页


请输入您要查询的字词:

 

字词 建设项目达产前经济损失
类别 中英文字词句释义及详细解析
释义
建设项目达产前经济损失

建设项目达产前经济损失

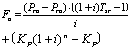
已建成并交付使用的工程项目,由于管理不善或外部设施不配套等主客观原因,不能及时达到设计的生产能力,所造成的资金损失。其计算公式为:

式中: Fe——达到设计能力前的资金损失;Pra——达到设计能力时的年利润额;Pre——达到设计能力前的平均年利润额; Tsr——从投产至达到设计能力时的时间(年); n——与达到设计能力后的利润相当的年数,即相当于投资推迟偿还的年数(n=(Pra-Pre)Tsr/Pra

☚ 建设项目市场与规模分析   项目建议书 ☛
00001816
随便看

 

离鸟网收录3541549条中英文词条,其功能与新华字典、现代汉语词典、牛津高阶英汉词典等各类中英文词典类似,基本涵盖了全部常用中英文字词句的读音、释义及用法,是语言学习和写作的有利工具。

 

Copyright © 2004-2024 vtrois.com All Rights Reserved
更新时间:2026/4/8 11:29:18