网站首页  词典首页


请输入您要查询的字词:

 

字词 异面直线所成的角
类别 中英文字词句释义及详细解析
释义
异面直线所成的角

异面直线所成的角yimian zhixian suocheng de jiao

a,b是两条异面直线,经过空间任意一点O,作直线a′∥a,直线b′∥b,则直线a′和直线b′所成的锐角(或直角)叫做异面直线a和b所成的角(图1).

图1


异面直线所成的角反映了两条异面直线在方向上的差异.它是研究两条异面直线互相垂直、三垂线定理的基础.计算异面直线所成的角的基本步骤是:
❶根据异面直线所成的角的定义,找出异面直线所成的角θ.

❷解含有角θ的三角形,求出角θ的大小.
在完成第一步时,应注意为完成第二步作好准备.

图2


通常把角θ的顶点选在两条异面直线中的一条上.
例 在长方体ABCD-A1B1C1D1中(图2),BC=a,CD=b,DD1=c,且b>a.求异面直线A1C和B1D1所成的角.
解 过C作B1D1的平行线EF,与AB,AD的延长线分别交于F,E两点.则∠A1CE就是异面直线A1C和B1D1所成的角.连结A1E.因为EF∥B1D1,所以EF∥BD.四边形BCED是平行四边形.所以CE=BD=

因为

DE=BC=a,

所以

AE=2a.

在Rt△AEA1

中,

A1C=

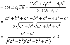
在△A1CE中有

所以A1C和B1D1所成的角为


在上面的例题中,若已知a=b,则可根据三垂线定理证明直线A1C与BD互相垂直,所以A1C与BD所成的角为90°.这时可不用异面直线所成的角的定义求.
☚ 等角定理及其推论   两条异面直线互相垂直 ☛
00012919
随便看

 

离鸟网收录3541549条中英文词条,其功能与新华字典、现代汉语词典、牛津高阶英汉词典等各类中英文词典类似,基本涵盖了全部常用中英文字词句的读音、释义及用法,是语言学习和写作的有利工具。

 

Copyright © 2004-2024 vtrois.com All Rights Reserved
更新时间:2026/4/7 23:58:12